| ²é¿´: 575 | »Ø¸´: 1 | ||
²»ÔÙСÍè×Óľ³æ (³õÈëÎÄ̳)
|
[ÇóÖú]
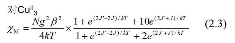
ÇóÈýºËÍ»¯ºÏÎ³ÊµÈÑüÈý½ÇÐΣ©µÄ´ÅÐÔoriginÄâºÏ¹«Ê½
|
|
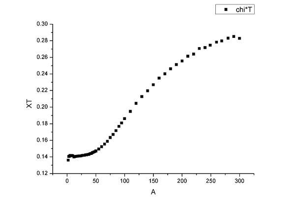
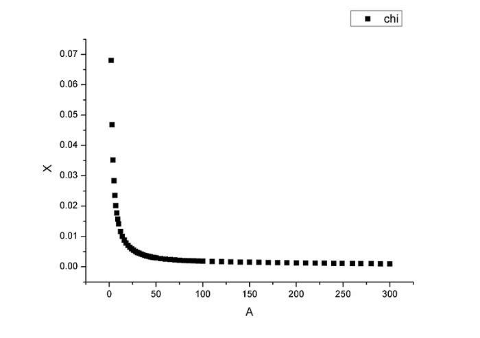
²âÁËÒ»¸öÈýºË͵ϝºÏÎÆäÖÐÈý¸öͳʹÂÁ¢Èý½ÇÐÎÅÅÁÐ ËÑË÷×ÊÁϵõ½Ò»¸öÈýºË»¯ºÏÎïµÄ¹«Ê½ ²»ÖªµÀ²ÎÊý¾ßÌåÒâÒ壬ÒÔ¼°ÏëÒªÓÃoriginÄâºÏÔõôŪ£¿¼±¡£¡£¡£ ÒªÄâºÏµÄX-TÇúÏßÈçÏ XT-TÇúÏßÈçÏ |
» ±¾ÌûÒÑ»ñµÃµÄºì»¨£¨×îÐÂ10¶ä£©
» ²ÂÄãϲ»¶
È˹¤ÖÇÄÜ320µ÷¼Á08¹¤À໹Óлú»áÂð
ÒѾÓÐ17È˻ظ´
¿¼ÑÐÓ¢Ò»ÊýÒ»338·Ö
ÒѾÓÐ10È˻ظ´
ÇóÖúµ÷¼Á£¬¿çµ÷
ÒѾÓÐ15È˻ظ´
085600²ÄÁÏÓ뻯¹¤329·ÖÇóµ÷¼Á
ÒѾÓÐ20È˻ظ´
085600²ÄÁÏÓ뻯¹¤349·ÖÇóµ÷¼Á
ÒѾÓÐ15È˻ظ´
Çóµ÷¼Á
ÒѾÓÐ13È˻ظ´
Ò»Ö¾Ô¸»ªÄÏÀí¹¤´óѧ331·Ö²ÄÁÏÇóµ÷¼Á
ÒѾÓÐ11È˻ظ´
271Çóµ÷¼Á
ÒѾÓÐ40È˻ظ´
Çóµ÷¼ÁѧУ
ÒѾÓÐ3È˻ظ´
332Çóµ÷¼Á
ÒѾÓÐ15È˻ظ´
» ±¾Ö÷ÌâÏà¹Ø¼ÛÖµÌùÍÆ¼ö£¬¶ÔÄúͬÑùÓаïÖú:
ÇóÖúÓÃorigin8.5½øÐÐÏßÐÔÄâºÏµÄÎÊÌâ
ÒѾÓÐ4È˻ظ´
ÇóOrigin»òMatlab¸ßÊÖ·ÇÏßÐÔÄâºÏ¹«Ê½
ÒѾÓÐ5È˻ظ´
originÖÐÈçºÎ×Ô¶¨ÒåBirch¨CMurnaghanÈý½×ÄâºÏ
ÒѾÓÐ40È˻ظ´
Çó¸ßÊÖÏàÖú£ºorigin·ÇÏßÐÔÄâºÏ н¨¹«Ê½Ôõô±à¼
ÒѾÓÐ8È˻ظ´
¹ØÓÚ¼ÆËã´ÅÐÔ½»»»³£ÊýJµÄÎÊÌâ
ÒѾÓÐ20È˻ظ´
origin8.5×Ô¶¨ÒåÄâºÏ¹«Ê½²¢ÄâºÏ
ÒѾÓÐ7È˻ظ´
ÇóÖú1D GdÁ´µÄ´ÅÐÔÄâºÏ
ÒѾÓÐ5È˻ظ´
¶àµç×Ó¹þÃܶÙÁ¿ÖÐΪºÎ°üº¬ºËÓëºËÖ®¼äµÄÏ໥×÷Óã¿
ÒѾÓÐ11È˻ظ´
ÔÚÏߵȴý¼±Çó origin ÈýÔªÏàͼÊý¾ÝÄâºÏ£¡£¡£¡£¡£¡
ÒѾÓÐ7È˻ظ´
origin ÄâºÏ¹«Ê½ÇóÖú
ÒѾÓÐ4È˻ظ´
²ËÄñÇóÖú£º¹ØÓÚOrigin¶àÔªÏßÐԻعéÄâºÏy=x1*£¨a*x2+b*x3+c)
ÒѾÓÐ10È˻ظ´
¡¾ÇóÖú¡¿originÀïÃæ×Ô¶¨Ò幫ʽÄâºÏÇúÏß³ö´í¡¾ÒÑÍê½á¡¿
ÒѾÓÐ7È˻ظ´
Çó origin ÄâºÏ¹«Ê½
ÒѾÓÐ10È˻ظ´
hold_on
½ð³æ (СÓÐÃûÆø)
- Ó¦Öú: 8 (Ó×¶ùÔ°)
- ½ð±Ò: 1217.4
- É¢½ð: 175
- ºì»¨: 1
- Ìû×Ó: 221
- ÔÚÏß: 186.8Сʱ
- ³æºÅ: 1510981
- ×¢²á: 2011-11-26
- ÐÔ±ð: GG
- רҵ: È˹¤¾§Ìå
2Â¥2014-03-04 22:04:15














»Ø¸´´ËÂ¥
hold_on