| 查看: 8782 | 回复: 11 | |||
| 当前只显示满足指定条件的回帖,点击这里查看本话题的所有回帖 | |||
zhugongyu木虫 (正式写手)
|
[求助]
求助:关于机械波的叠加公式推导已有2人参与
|
||
|
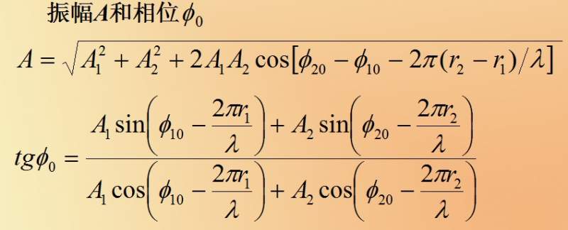
两个满足干涉的机械波动方程分别为 1.jpg 那么这两个波的叠加方程是 2.jpg 那么有 3.jpg 我想知道A是怎么推导过来的,是积化和差一类的吧,需要具体数学步骤。。。。。。谢谢了 [ Last edited by zhugongyu on 2014-2-18 at 12:41 ] |
» 猜你喜欢
请问有评职称,把科研教学业绩算分排序的高校吗
已经有4人回复
孩子确诊有中度注意力缺陷
已经有12人回复
2025冷门绝学什么时候出结果
已经有3人回复
天津工业大学郑柳春团队欢迎化学化工、高分子化学或有机合成方向的博士生和硕士生加入
已经有4人回复
康复大学泰山学者周祺惠团队招收博士研究生
已经有6人回复
AI论文写作工具:是科研加速器还是学术作弊器?
已经有3人回复
2026博士申请-功能高分子,水凝胶方向
已经有6人回复
论文投稿,期刊推荐
已经有4人回复
硕士和导师闹得不愉快
已经有13人回复
请问2026国家基金面上项目会启动申2停1吗
已经有5人回复

shuiweirui
木虫 (正式写手)
- 应助: 2 (幼儿园)
- 金币: 4335.4
- 帖子: 666
- 在线: 150.3小时
- 虫号: 1911442
- 注册: 2012-07-26
- 专业: 凝聚态物性 II :电子结构
11楼2015-01-14 23:11:08

2楼2014-02-18 13:14:20
feixiaolin
荣誉版主 (文坛精英)
-

专家经验: +518 - 应助: 942 (博后)
- 贵宾: 1.275
- 金币: 2930
- 散金: 58785
- 红花: 532
- 沙发: 11
- 帖子: 24215
- 在线: 2601.8小时
- 虫号: 2139575
- 注册: 2012-11-21
- 专业: 光学信息获取与处理
- 管辖: 数学
3楼2014-02-18 13:15:17
zhugongyu
木虫 (正式写手)
- 应助: 1 (幼儿园)
- 金币: 4772.1
- 散金: 8
- 红花: 4
- 帖子: 484
- 在线: 452.3小时
- 虫号: 730719
- 注册: 2009-03-25
- 性别: GG
- 专业: 能源化工

4楼2014-02-18 14:11:41














回复此楼

zhugongyu