| ²é¿´: 906 | »Ø¸´: 4 | |||
[ÇóÖú]
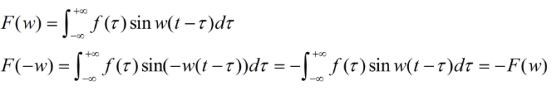
ÈõÈõµÄÎÊÏÂÕâ¸öº¯Êý»ý·ÖΪʲôÊÇwµÄÆæº¯Êý ÒÑÓÐ1È˲ÎÓë
|
|||
|
|
|||
feixiaolinÈÙÓþ°æÖ÷ (ÎÄ̳¾«Ó¢)
|
|||
|
2Â¥2014-01-18 20:13:08
|
|
||
|
3Â¥2014-01-18 20:25:38
|
|
||
peterflyer
|
|||
|
4Â¥2014-01-18 20:32:15
|
|
||
feixiaolinÈÙÓþ°æÖ÷ (ÎÄ̳¾«Ó¢)
|
|||
|
5Â¥2014-01-18 22:28:42
|
|













»Ø¸´´ËÂ¥

5