| ²é¿´: 265 | »Ø¸´: 0 | ||
mabin6003ľ³æ (ÕýʽдÊÖ)
Ò»Ö±Ïòǰ
|
[ÇóÖú]
´óÉñÇë½ø£¡£¡
|
|
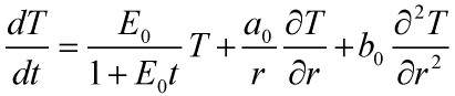
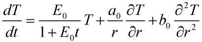
ÓÐÄÄλ´óÉñÄܽ«ÏÂÃæÕâ¸ö·½³Ì±ä³Ématlab³ÌÐò°¡£¿ÕâÀïTÊǺ¬ÓбäÁ¿tºÍrµÄº¯Êý£¬ÆäËû¶¼Êdz£Êý£¡±ß½çÌõ¼þµ÷ÊÔ¹ý³ÌÖпÉÏÈËæÒâÉèÖã¡ ·½³Ì.jpg ·½³Ì.jpg |
» ²ÂÄãϲ»¶
368»¯Ñ§Çóµ÷¼Á
ÒѾÓÐ13È˻ظ´
286Çóµ÷¼Á
ÒѾÓÐ4È˻ظ´
0703»¯Ñ§Çóµ÷¼Á
ÒѾÓÐ12È˻ظ´
µ÷¼Á
ÒѾÓÐ3È˻ظ´
²ÄÁϵ÷¼Á
ÒѾÓÐ13È˻ظ´
285Çóµ÷¼Á
ÒѾÓÐ18È˻ظ´
»úе¹¤³Ì313·ÖÕÒ¹¤¿Æµ÷¼Á
ÒѾÓÐ3È˻ظ´
¿¼Ñе÷¼Á-²ÄÁÏÀà-284
ÒѾÓÐ9È˻ظ´
Ò»Ö¾Ô¸ÏôóÉúÎïѧ332Çóµ÷¼Á
ÒѾÓÐ3È˻ظ´
±¾¿Æ211£¬293·ÖÇëÇóµ÷¼Á
ÒѾÓÐ13È˻ظ´

ÕÒµ½Ò»Ð©Ïà¹ØµÄ¾«»ªÌû×Ó£¬Ï£ÍûÓÐÓÃŶ~
Çó´óÉñ°ïÖú½â¾öºÏ³ÉÖеÄÎÊÌâ
ÒѾÓÐ13È˻ظ´
Ö÷Ҫ˵Óйؼ«Ï޵Ļù´¡Ì⣬ϣÍû¸÷λ°ïæ½â´ð£¬Ð»Ð»ÁË¡£
ÒѾÓÐ4È˻ظ´
¸÷λѧ·ºº¯µÄ´óÉñÃÇÇë½ø£¡ÓÐÁùµÀСÌâÏ£Íû¿ÉÒÔ°ïæ£¡
ÒѾÓÐ12È˻ظ´
¿¼²©Ê¿¼òÀúÄ£°å£¬Çó´óÉñ´«Ò»·Ý
ÒѾÓÐ10È˻ظ´
ÐÞ¸Äͼ±êÎÊÌ⣬Çë¸÷λ´óÉñ°ï棡
ÒѾÓÐ5È˻ظ´
Á˽âÉúÎïÖÊÔ¤´¦Àí·½ÏòµÄ´óÉñÇë½ø
ÒѾÓÐ22È˻ظ´
ͼÏñÅä×¼µÄ×ÊÁÏÓë½»Á÷
ÒѾÓÐ3È˻ظ´
¸÷λ´óÉñ£¬°ï°ïСÉúÎÒ°¡~Éæ¼°ËáÐÔÖ¬·¾Ã¸µÄÇë½ø
ÒѾÓÐ4È˻ظ´
±¨¿¼µÄÊÇѧ˶ µ÷¼Áµ½ÆÕͨѧУ¶Áר˶ºÃ»¹ÊÇѧ˶ºÃ
ÒѾÓÐ4È˻ظ´
2014ר˶ºÍѧ˶µÄÇø±ð&ǰ¾°·ÖÎö£¨¿¼ÑÐ1ºÅ×îÐÂÕûÀí£© ¡ï ¡ï ¡ï ¡ï
ÒѾÓÐ38È˻ظ´
»·¾³¹¤³Ì¶Áר˶»òÕßѧ˶±ÏÒµºóµÄ´ýÓöÒ»ÑùÂð£¿
ÒѾÓÐ19È˻ظ´
ѧ˶¸úר˶¿¼¹«ÎñÔ±Ò»ÑùÂð£¿
ÒѾÓÐ15È˻ظ´
¹ØÓÚѧ˶ºÍר˶µ÷¼ÁµÄÎÊÌâ
ÒѾÓÐ9È˻ظ´
Ϊʲôһ¼ÆËã¾Í»á³öÏÖϵͳÕÒ²»µ½Ö¸¶¨ÎļþÄØ£¿Çó¸ß˹´óÉñ½â´ð°¡....
ÒѾÓÐ5È˻ظ´
¿ÆÑдÓСľ³æ¿ªÊ¼£¬ÈËÈËΪÎÒ£¬ÎÒΪÈËÈË














»Ø¸´´ËÂ¥
µã»÷ÕâÀïËÑË÷¸ü¶àÏà¹Ø×ÊÔ´