| 查看: 2039 | 回复: 1 | |
[求助]
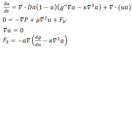
关于COMSOL pde模块的求助
|
|
![]() |
|
|
|
|
|
2楼2014-03-19 18:44:01
|
|














回复此楼