| ²é¿´: 1140 | »Ø¸´: 3 | |
zcy_langmuirÌú¸Ëľ³æ (ÕýʽдÊÖ)
|
[ÇóÖú]
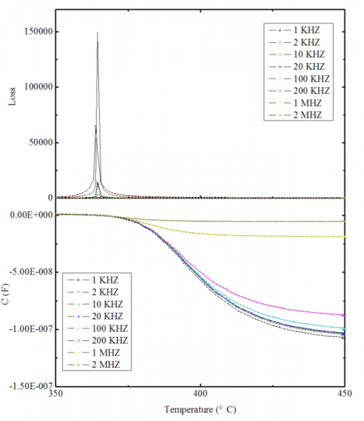
µçÈݲâÊÔ³öÏÖ¸ºÖµ ËðºÄ¼«´ó ÒÑÓÐ1È˲ÎÓë
|
![]() |
|
|
|
|
zcy_langmuirÌú¸Ëľ³æ (ÕýʽдÊÖ)
|
|
![]() |
|
|
2Â¥2013-12-27 20:50:38
|
|
zcy_langmuirÌú¸Ëľ³æ (ÕýʽдÊÖ)
|
|
![]() |
|
|
3Â¥2013-12-27 20:53:06
|
|
tofly½ð³æ (СÓÐÃûÆø)
|
|
|
4Â¥2013-12-27 21:47:31
|
|















»Ø¸´´ËÂ¥