| 查看: 1167 | 回复: 5 | ||||
[求助]
求一个截断椭圆的面积和绕轴旋转形成截断椭球的体积。 已有1人参与
|
|
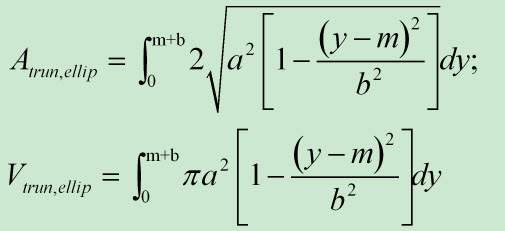
已知条件很少,只知道截断线的长度为dc和截断线与曲线切线之间的夹角θ,其他(比如椭圆方程、长径短径等)一概不知,有可能用这两个量表示出这个截断椭圆的面积和它绕中轴旋转所成截断椭球的体积吗? 谢谢各位大侠了。 椭圆面积计算.jpg |
» 猜你喜欢
有时候真觉得大城市人没有县城人甚至个体户幸福
已经有9人回复
CSC & MSCA 博洛尼亚大学能源材料课题组博士/博士后招生|MSCA经费充足、排名优
已经有6人回复
天津大学招2026.09的博士生,欢迎大家推荐交流(博导是本人)
已经有4人回复
同年申请2项不同项目,第1个项目里不写第2个项目的信息,可以吗
已经有3人回复
退学或坚持读
已经有28人回复
面上项目申报
已经有3人回复
酰胺脱乙酰基
已经有9人回复
博士延得我,科研能力直往上蹿
已经有7人回复
面上基金申报没有其他的参与者成吗
已经有5人回复
遇见不省心的家人很难过
已经有22人回复
feixiaolin
荣誉版主 (文坛精英)
-

专家经验: +518 - 应助: 942 (博后)
- 贵宾: 1.275
- 金币: 3430
- 散金: 58785
- 红花: 532
- 沙发: 11
- 帖子: 24215
- 在线: 2601.8小时
- 虫号: 2139575
- 注册: 2012-11-21
- 专业: 光学信息获取与处理
- 管辖: 数学
【答案】应助回帖
★ ★ ★ ★ ★ ★ ★ ★ ★ ★ ★ ★ ★ ★ ★ ★ ★ ★ ★ ★
感谢参与,应助指数 +1
yihu_55: 金币+20, ★★★很有帮助, 很有帮助,谢谢,那如果m作为已知量给定的话,这个截断椭圆的面积和对应形成的截断椭球的体积就能表达出来了吗?能不能帮我算算,我再追加金币,谢谢了 2013-12-25 23:28:18
感谢参与,应助指数 +1
yihu_55: 金币+20, ★★★很有帮助, 很有帮助,谢谢,那如果m作为已知量给定的话,这个截断椭圆的面积和对应形成的截断椭球的体积就能表达出来了吗?能不能帮我算算,我再追加金币,谢谢了 2013-12-25 23:28:18
|
无穷多组解。 取椭圆方程如:x^2/a^2+(y-m)^2/b^2=1 令y=0,可知其与x轴交点为 x=+a*sqrt(1-m^2/b^2) 或x=-a*sqrt(1-m^2/b^2) 在x轴上截距dc=2*a*sqrt(1-m^2/b^2) , 或sqrt(1-m^2/b^2) =dc/(2*a) (1) 椭圆方程求导,2*x/a^2+2*(y-m)*y'/b^2=0 y'=-b^2*x/(a^2*(y-m)) 取 x=+a*sqrt(1-m^2/b^2) 带入,有 b^2*dc/[2*a^2*m]=tan(theta) (2) 方程(1),(2)中有三个未知数,无法求解。 换言之,随不同的m可以有无穷多解。 |
2楼2013-12-25 20:20:05
feixiaolin
荣誉版主 (文坛精英)
-

专家经验: +518 - 应助: 942 (博后)
- 贵宾: 1.275
- 金币: 3430
- 散金: 58785
- 红花: 532
- 沙发: 11
- 帖子: 24215
- 在线: 2601.8小时
- 虫号: 2139575
- 注册: 2012-11-21
- 专业: 光学信息获取与处理
- 管辖: 数学
3楼2013-12-26 08:40:15
4楼2013-12-26 09:58:26
feixiaolin
荣誉版主 (文坛精英)
-

专家经验: +518 - 应助: 942 (博后)
- 贵宾: 1.275
- 金币: 3430
- 散金: 58785
- 红花: 532
- 沙发: 11
- 帖子: 24215
- 在线: 2601.8小时
- 虫号: 2139575
- 注册: 2012-11-21
- 专业: 光学信息获取与处理
- 管辖: 数学
5楼2013-12-26 10:16:09
6楼2013-12-26 10:25:59













回复此楼
yihu_55