| ²é¿´: 1250 | »Ø¸´: 14 | |||
ÎÒÊÇÒ¬×Óͳæ (СÓÐÃûÆø)
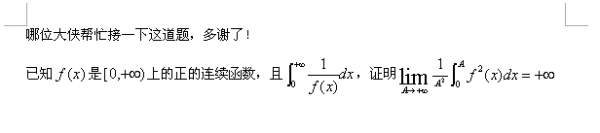
|
[ÇóÖú]
ÇóÖú ÒÑÓÐ1È˲ÎÓë
|
||
|
|
|||
feixiaolinÈÙÓþ°æÖ÷ (ÎÄ̳¾«Ó¢)
|
|||
|
2Â¥2013-12-23 21:06:16
|
|
||
ÎÒÊÇÒ¬×Óͳæ (СÓÐÃûÆø)
|
feixiaolin: ±à¼ÄÚÈÝ 2013-12-24 14:46
feixiaolin: ±à¼ÄÚÈÝ 2013-12-24 14:47 feixiaolin: ±à¼ÄÚÈÝ 2013-12-24 14:49 feixiaolin: ±à¼ÄÚÈÝ 2013-12-24 14:50 feixiaolin: ±à¼ÄÚÈÝ 2013-12-24 15:00
» ±¾Ìû¸½¼þ×ÊÔ´Áбí
2013-12-24 14:46:31, 9.49 K
|
||
|
3Â¥2013-12-24 14:26:35
|
|
||
ÎÒÊÇÒ¬×Óͳæ (СÓÐÃûÆø)
|
|||
|
4Â¥2013-12-24 15:01:09
|
|
||
jabileľ³æ (ÕýʽдÊÖ)
|
¡¾´ð°¸¡¿Ó¦Öú»ØÌû
¸Ðл²ÎÓ룬ӦÖúÖ¸Êý +1
|
||
|
5Â¥2013-12-25 08:39:18
|
|
||
ÎÒÊÇÒ¬×Óͳæ (СÓÐÃûÆø)
|
|||
|
6Â¥2013-12-25 10:35:14
|
|
||
jabileľ³æ (ÕýʽдÊÖ)
|
¡ï ¡ï ¡ï ¡ï ¡ï ¡ï ¡ï ¡ï ¡ï ¡ï
ÎÒÊÇÒ¬×Ó(feixiaolin´ú·¢): ½ð±Ò+10 2013-12-26 08:46:11
|
||
|
7Â¥2013-12-25 11:58:48
|
|
||
ÎÒÊÇÒ¬×Óͳæ (СÓÐÃûÆø)
|
» ±¾Ìû¸½¼þ×ÊÔ´Áбí
2013-12-24 15:54:31, 75.38 K
|
||
|
8Â¥2013-12-25 15:53:22
|
|
||
ÎÒÊÇÒ¬×Óͳæ (СÓÐÃûÆø)
|
|||
|
9Â¥2013-12-25 16:01:41
|
|
||
jabileľ³æ (ÕýʽдÊÖ)
|
|||
|
10Â¥2013-12-25 16:42:31
|
|













»Ø¸´´ËÂ¥

ÎÒÊÇÒ¬×Ó