Znn3bq.jpeg
²é¿´: 1128  |  »Ø¸´: 0

nonego147

Òø³æ (³õÈëÎÄ̳)

[ÇóÖú] ¹ØÓÚMann-Kendall

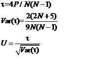
½ü¼¸Ìì¿´ÎÄÏ×£¬ÔÚË®ÎÄʱ¼äÐòÁзÖÎöÖУ¬ºÃ¶àÈ˶¼Óõ½ÁËMann-kendall·Ç²ÎÊýÖÈ´ÎÏà¹Ø·ÖÎö£¨M-kÇ÷ÊÆ¼ìÑ飩£¬ºóÀ´ÓÖ¿´µ½kendallÖÈ´ÎÏà¹Ø¼ìÑ飬¸Ðµ½ÃÔ»ó£¬ÒòΪÓеÄÎÄÕÂÊǰÑÕâÁ½¸ö¼ìÑéµÄ¹«Ê½½áºÏµ½Ò»ÆðÀ´½øÐмÆËãµÄ£¬ÎÒÏëÎÊÎÊ´ó¼ÒËûÃÇÖ®¼äÓÐʲô²»Í¬£¬Í¼Æ¬Îª¹«Ê½¡£ºóÒ»¹«Ê½°´Ë³Ðò·Ö±ðΪͳ¼ÆÁ¿£¬·½²î£¬±ê×¼»¯±äÁ¿¡£
¹ØÓÚMann-Kendall
Mann-Kendall.jpg


¹ØÓÚMann-Kendall-1
kendall.jpg

[ Last edited by nonego147 on 2013-12-19 at 17:13 ]
»Ø¸´´ËÂ¥
ÒÑÔÄ   »Ø¸´´ËÂ¥   ¹Ø×¢TA ¸øTA·¢ÏûÏ¢ ËÍTAºì»¨ TAµÄ»ØÌû

ÖÇÄÜ»úÆ÷ÈË

Robot (super robot)

ÎÒÃǶ¼°®Ð¡Ä¾³æ

ÕÒµ½Ò»Ð©Ïà¹ØµÄ¾«»ªÌû×Ó£¬Ï£ÍûÓÐÓÃŶ~

¿ÆÑдÓСľ³æ¿ªÊ¼£¬ÈËÈËΪÎÒ£¬ÎÒΪÈËÈË
Ïà¹Ø°æ¿éÌø×ª ÎÒÒª¶©ÔÄÂ¥Ö÷ nonego147 µÄÖ÷Ìâ¸üÐÂ
×î¾ßÈËÆøÈÈÌûÍÆ¼ö [²é¿´È«²¿] ×÷Õß »Ø/¿´ ×îºó·¢±í
[»ù½ðÉêÇë] ºÓ±±Ê¡×ÔÈ»¿ÆÑ§»ù½ð +5 Peterchao 2026-05-18 8/400 2026-05-24 11:58 by ÏþÏþ°®´ä´ä
[»ù½ðÉêÇë] Î÷°²½»´óÐÂýѧԺ¸±Ôº³¤Óó·¸åÂÛÎĽáÌâ +3 bjvtcliu 2026-05-24 5/250 2026-05-24 10:16 by kudofaye
[½Ìʦ֮¼Ò] ÂÛÎij·¸åÁË +3 bjvtcliu 2026-05-24 5/250 2026-05-24 10:06 by Equinoxhua
[½Ìʦ֮¼Ò] ij211´óѧ½Ìʦ°Ñ¸öÈ˽Ìʦ¹Ù·½Ö÷Ò³¸Ä³É:ÎÒÅÜÁËÎÒÅÜÁËÎÒÅÜÁË!¹ÙÐûÅÜ·£¡ +4 zju2000 2026-05-21 5/250 2026-05-24 09:35 by songwz
[¿¼²©] 26/27É격×Ô¼ö 10+4 ZXW0202 2026-05-22 9/450 2026-05-24 08:47 by bjvtcliu
[˶²©¼ÒÔ°] ÊÛSCIÒ»ÇøT0PÎÄÕ£¬ÎÒ:8.O.5.5.1.O.5.4,¿ÆÄ¿ÆëÈ«,¿É+¼± +3 hvkbtfonbv 2026-05-23 3/150 2026-05-24 08:01 by 9ps9vgkqva
[˶²©¼ÒÔ°] ÊÛSCIÒ»ÇøT0PÎÄÕ£¬ÎÒ:8.O.5.5.1.O.5.4,¿ÆÄ¿ÆëÈ«,¿É+¼± +3 pmo95bazuy 2026-05-23 7/350 2026-05-24 06:35 by fpo5ljpv91
[»ù½ðÉêÇë] ½ÒÃØÇà»ùÆÀÉóÄÚÄ»£º¼¸¸öA²ÅÄÜ˳ÀûÖбê +3 ¹ú×ÔÈ»¹úÉç¿ÆÖÐ 2026-05-23 4/200 2026-05-23 15:37 by 2000zf36392
[»ù½ðÉêÇë] ÇàB·¢ËÍÉÏ»á֪ͨÁËÂð +5 chemBioBro 2026-05-22 7/350 2026-05-23 12:35 by zhuifengzhy
[¿¼²©] ²©Ê¿ÉêÇë +3 ½¹ÏþÃ÷ 2026-05-21 3/150 2026-05-23 11:26 by mlc840311
[ÂÛÎÄͶ¸å] Ͷ¸åÇóÖú£¬ÆÚ¿¯ +4 Ï£¼½£¬ÓÐÊé¶Á 2026-05-20 8/400 2026-05-22 10:16 by Ï£¼½£¬ÓÐÊé¶Á
[ÎÄѧ·¼²ÝÔ°] Ï×Ѫ¸Ð´¥ +7 ѽѽºÃɵ 2026-05-19 13/650 2026-05-21 20:15 by ѽѽºÃɵ
[»ù½ðÉêÇë] ÃæÉϱ¾×ÓÕýÎÄ33Ò³£¬Î¥¹æÂ𣿻ᱻµÍ·ÖÂ +14 1234567wang 2026-05-17 16/800 2026-05-21 17:58 by ´à´àµÄ±ý¸É
[»ù½ðÉêÇë] ¹ú×ÔÈ»ÆÀ·Ö +4 ÎÞÃûÕßµÇɽ 2026-05-20 5/250 2026-05-21 16:35 by swuq
[»ù½ðÉêÇë] Ìá½»ÁËÎÒÒ²À´ËµËµ¸ÐÏë +9 fummck 2026-05-20 10/500 2026-05-21 14:17 by draco1987
[»ù½ðÉêÇë] ÆÀÉóÓиР+15 popular289 2026-05-18 26/1300 2026-05-21 10:35 by Î÷ºù«³´¼¦µ°
[Óлú½»Á÷] ·´Ó¦ºÜ²î£¬´óÁ¿Ô­ÁÏûÓз´Ó¦ 5+3 Mr.Zot 2026-05-19 8/400 2026-05-20 22:19 by Equinoxhua
[¿¼²©] Èç¹û¹¤×÷ÁËÏë¶Á²©£¬¿ÉÒԱ߹¤×÷±ß¶ÁÈ«ÈÕÖÆÂ 30+3 Ìú´ï»ð³µ 2026-05-18 5/250 2026-05-20 09:33 by tfang
[¿¼²©] ²©Ê¿ÉêÇë +5 ÐÇ¡­¡­ 2026-05-18 6/300 2026-05-18 23:49 by ºýºýͿͿºÃ
[˶²©¼ÒÔ°] ÎÒÔÚµÈÒ»¸öûÓд𰸵Ĵ𰸠+3 Love_MH 2026-05-17 3/150 2026-05-18 02:22 by ÖñÁÖ¹ÂÓ°
ÐÅÏ¢Ìáʾ
ÇëÌî´¦ÀíÒâ¼û