²é¿´: 615  |  »Ø¸´: 4

abcdedcba

гæ (³õÈëÎÄ̳)

[ÇóÖú] °ïæÇó¦ÈÖµ£¡

ÆäÖÐX1 µÈÓÚD/ 2, X2 µÈÓÚH / 2£¬Çó¦ÈÖµ¡£
ʽ×Ó¼û¸½Í¼¡££¨Ìáʾ˵¿ÉÓòÉÓÃYoula ºÍRunge-Kuta ·½·¨¼ÆË㣩
°ïæÇó¦ÈÖµ£¡
`$8P2E2@R5T(I{1`W%EC%NO.jpg
»Ø¸´´ËÂ¥

» ²ÂÄãϲ»¶

» ±¾Ö÷ÌâÏà¹Ø¼ÛÖµÌùÍÆ¼ö£¬¶ÔÄúͬÑùÓаïÖú:

ÒÑÔÄ   »Ø¸´´ËÂ¥   ¹Ø×¢TA ¸øTA·¢ÏûÏ¢ ËÍTAºì»¨ TAµÄ»ØÌû

feixiaolin

ÈÙÓþ°æÖ÷ (ÎÄ̳¾«Ó¢)

ÓÅÐã°æÖ÷

ȡx2=a; alpha*x1=b; t=ab/x;
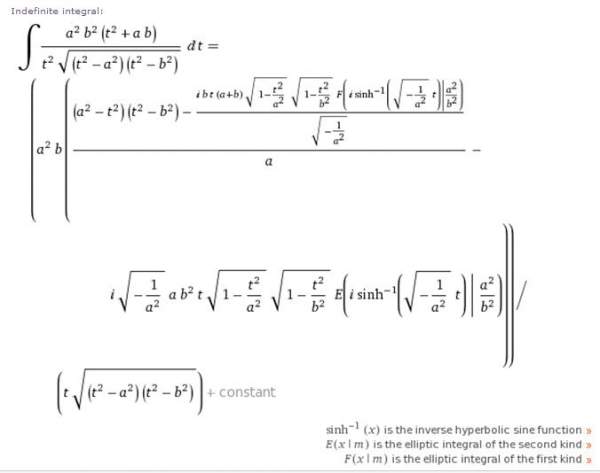
ԭʽת±äΪ dz/dt=a^2*b^2*(t^2+a*b)/t^2/sqrt((t^2-a^2)*(t^2-b^2))£»
ÏÈ»ý·Ö³öÀ´£¬
×îºóÈ·¶¨ theta²ÎÊý
°ïæÇó¦ÈÖµ£¡-1
111.JPG



[ Last edited by feixiaolin on 2013-12-16 at 21:08 ]
2Â¥2013-12-16 19:24:56
ÒÑÔÄ   »Ø¸´´ËÂ¥   ¹Ø×¢TA ¸øTA·¢ÏûÏ¢ ËÍTAºì»¨ TAµÄ»ØÌû

abcdedcba

гæ (³õÈëÎÄ̳)

ÒýÓûØÌû:
2Â¥: Originally posted by feixiaolin at 2013-12-16 19:24:56
ȡx2=a; alpha*x1=b; t=ab/x;
ԭʽת±äΪ dz/dt=a^2*b^2*(t^2+a*b)/t^2/sqrt((t^2-a^2)*(t^2-b^2))£»
ÏÈ»ý·Ö³öÀ´£¬
×îºóÈ·¶¨ theta²ÎÊý

111.JPG
...

²»ÊÇ»ý·ÖÕâ¸öʽ×ÓÂð£¿ÓÐÄÇôÂé·³Âð£¿ÄǸöFºÍEµÄ¿´²»¶®°¡
°ïæÇó¦ÈÖµ£¡-2
9XN7E~J8R3}JF%1SNAK1P)V.jpg

3Â¥2013-12-17 10:53:10
ÒÑÔÄ   »Ø¸´´ËÂ¥   ¹Ø×¢TA ¸øTA·¢ÏûÏ¢ ËÍTAºì»¨ TAµÄ»ØÌû

feixiaolin

ÈÙÓþ°æÖ÷ (ÎÄ̳¾«Ó¢)

ÓÅÐã°æÖ÷

ÒýÓûØÌû:
3Â¥: Originally posted by abcdedcba at 2013-12-17 10:53:10
²»ÊÇ»ý·ÖÕâ¸öʽ×ÓÂð£¿ÓÐÄÇôÂé·³Âð£¿ÄǸöFºÍEµÄ¿´²»¶®°¡

9XN7E~J8R3}JF%1SNAK1P)V.jpg
...

ÎÒ×öÁ˱äÁ¿Ìæ»»£¬ºóÃæ»»»ØÀ´¾ÍÐÐÁË¡£
FºÍE£ºµÚÒ»ÖÖ¡¢µÚ¶þÖÖÍÖÔ²»ý·Ö¡£
4Â¥2013-12-17 11:25:03
ÒÑÔÄ   »Ø¸´´ËÂ¥   ¹Ø×¢TA ¸øTA·¢ÏûÏ¢ ËÍTAºì»¨ TAµÄ»ØÌû

abcdedcba

гæ (³õÈëÎÄ̳)

ÒýÓûØÌû:
4Â¥: Originally posted by feixiaolin at 2013-12-17 11:25:03
ÎÒ×öÁ˱äÁ¿Ìæ»»£¬ºóÃæ»»»ØÀ´¾ÍÐÐÁË¡£
FºÍE£ºµÚÒ»ÖÖ¡¢µÚ¶þÖÖÍÖÔ²»ý·Ö¡£...

¶÷£¬ÎÒ²»ÊÇÊýѧרҵµÄ£¬²»Ì«¶®£¬¾Í˵¦È×îºóÓÃDºÍH¡¢L±íʾ³öÀ´Ó¦¸ÃÊÇʲô°É¡£
5Â¥2013-12-17 13:28:39
ÒÑÔÄ   »Ø¸´´ËÂ¥   ¹Ø×¢TA ¸øTA·¢ÏûÏ¢ ËÍTAºì»¨ TAµÄ»ØÌû
Ïà¹Ø°æ¿éÌø×ª ÎÒÒª¶©ÔÄÂ¥Ö÷ abcdedcba µÄÖ÷Ìâ¸üÐÂ
×î¾ßÈËÆøÈÈÌûÍÆ¼ö [²é¿´È«²¿] ×÷Õß »Ø/¿´ ×îºó·¢±í
[¿¼ÑÐ] 07»¯Ñ§303Çóµ÷¼Á +5 î£08 2026-03-25 5/250 2026-03-25 22:46 by 418490947
[¿¼ÑÐ] 332Çóµ÷¼Á +6 032500 2026-03-25 6/300 2026-03-25 22:45 by 418490947
[¿¼ÑÐ] 291 Çóµ÷¼Á +5 »¯¹¤2026½ì±ÏÒµÉ 2026-03-21 6/300 2026-03-25 22:28 by 544594351
[¿¼ÑÐ] 292Çóµ÷¼Á +6 ¶ì¶ì¶ì¶î¶î¶î¶î¶ 2026-03-25 7/350 2026-03-25 22:04 by Î޼ʵIJÝÔ­
[¿¼ÑÐ] Ò»Ö¾Ô¸ºÓ¹¤´ó 081700 276Çóµ÷¼Á +3 µØÇòÈÆ×ÅÌ«Ñôת 2026-03-23 3/150 2026-03-25 19:10 by ÎíÉ¢ºóÏàÓölc
[¿¼ÑÐ] 26¿¼ÑÐ-291·Ö-ÏÃÃÅ´óѧ£¨085601£©-ÈáÐÔµç×ÓѧԺ²ÄÁϹ¤³ÌרҵÇóµ÷¼Á +3 min3 2026-03-24 4/200 2026-03-25 18:22 by xcjcqu
[¿¼ÑÐ] ¿¼Ñе÷¼Á +5 ºôºô£¿~+123456 2026-03-24 5/250 2026-03-25 18:15 by xcjcqu
[¿¼ÑÐ] 0854AI CV·½ÏòÕÐÊÕµ÷¼Á +4 ÕÂСÓã567 2026-03-23 4/200 2026-03-25 17:04 by CoderLoser
[¿¼ÑÐ] 0854È˹¤ÖÇÄÜ·½ÏòÕÐÊÕµ÷¼Á +4 ÕÂСÓã567 2026-03-24 4/200 2026-03-25 13:29 by 2177681040
[¿¼ÑÐ] 287Çóµ÷¼Á +10 ³¿»èÏßÓëÐǺ£ 2026-03-19 11/550 2026-03-25 10:35 by userper
[¿¼ÑÐ] 300Çóµ÷¼Á£¬²ÄÁÏ¿ÆÑ§Ó¢Ò»Êý¶þ +5 leaflight 2026-03-24 5/250 2026-03-24 16:25 by laoshidan
[¿¼ÑÐ] Ò»Ö¾Ô¸»ª¶«Àí¹¤´óѧ081700£¬³õÊÔ·ÖÊý271 +5 kotoko_ik 2026-03-23 6/300 2026-03-24 10:29 by ѧÊõ°áשer
[¿¼ÑÐ] »¯Ñ§308·ÖÇóµ÷¼Á +3 ÄãºÃÃ÷ÌìÄãºÃ 2026-03-23 3/150 2026-03-23 20:11 by macy2011
[¿¼ÑÐ] Ò»Ö¾Ô¸ÎäÀí²ÄÁϹ¤³Ì348Çóµ÷¼Á +6 £þ^£þ©bº¹ 2026-03-19 9/450 2026-03-23 19:53 by pswait
[¿¼ÑÐ] 293Çóµ÷¼Á +3 ÌÎÌÎWjt 2026-03-22 5/250 2026-03-22 22:21 by jiangpengfei
[¿¼ÑÐ] Ò»Ö¾Ô¸»ªÖпƼ¼´óѧ071000£¬Çóµ÷¼Á +4 ÑØ°¶Óб´¿Ç6 2026-03-21 4/200 2026-03-22 07:21 by ilovexiaobin
[¿¼ÑÐ] Ò»Ö¾Ô¸Éî´ó£¬0703»¯Ñ§£¬×Ü·Ö302£¬Çóµ÷¼Á +4 ÆßÔÂ-ÆßÆß 2026-03-21 4/200 2026-03-21 18:20 by ѧԱ8dgXkO
[¿¼ÑÐ] ²ÄÁÏÓ뻯¹¤£¨0856£©304Çó BÇø µ÷¼Á +3 Çñgl 2026-03-21 3/150 2026-03-21 13:47 by lature00
[¿¼ÑÐ] 295²ÄÁÏÇóµ÷¼Á£¬Ò»Ö¾Ô¸Î人Àí¹¤085601ר˶ +5 Charlieyq 2026-03-19 5/250 2026-03-20 20:35 by JourneyLucky
[¿¼ÑÐ] ²ÄÁÏ¿¼Ñе÷¼Á +3 xwt¡£ 2026-03-19 3/150 2026-03-19 11:22 by wãåÑôw
ÐÅÏ¢Ìáʾ
ÇëÌî´¦ÀíÒâ¼û