| 查看: 2127 | 回复: 8 | |
ws89金虫 (著名写手)
悠然书生
|
[求助]
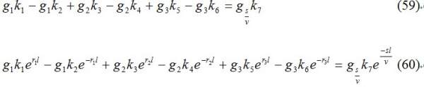
fortran ,六元一次方程组,编程
|
![]() |
|
|
|
|
virtualzx木虫 (著名写手)
|
|
|
2楼2013-11-21 23:00:45
|
|
ws89金虫 (著名写手)
悠然书生
|
|
![]() |
|
|
3楼2013-11-22 10:11:16
|
|
|
4楼2013-11-22 14:46:47
|
|
virtualzx木虫 (著名写手)
|
|
|
5楼2013-11-22 15:01:04
|
|
ws89金虫 (著名写手)
悠然书生
|
|
![]() |
|
|
6楼2013-11-22 15:07:36
|
|
ws89金虫 (著名写手)
悠然书生
|
|
![]() |
|
|
7楼2013-11-22 15:08:49
|
|
|
8楼2013-11-25 14:11:08
|
|
|
9楼2013-12-09 00:53:04
|
|













回复此楼
10