±±¾©Ê¯ÓÍ»¯¹¤Ñ§Ôº2026ÄêÑо¿ÉúÕÐÉú½ÓÊÕµ÷¼Á¹«¸æ
²é¿´: 2953  |  »Ø¸´: 1

a11520

Í­³æ (СÓÐÃûÆø)

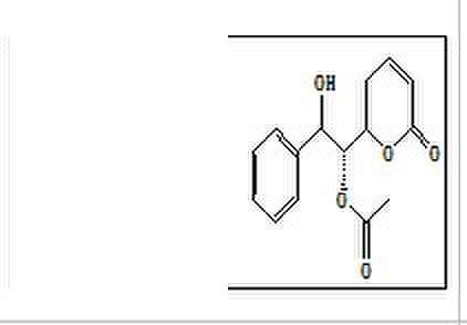
[ÇóÖú] ΪʲôÕâ¸ö½á¹û£¬×î´ó×ÏÍâÎüÊÕÔÚ214nm£¨Ä©¶ËÎüÊÕ£©

ΪʲôÕâ¸ö½á¹¹Óб½»·£¬Óй²éȴֻÓÐ×ÏÍâÄ©¶ËÎüÊÕ£¬×î´óÎüÊÕ²¨³¤Ê¦214nm£¬Çó½âÎö£¿
ΪʲôÕâ¸ö½á¹û£¬×î´ó×ÏÍâÎüÊÕÔÚ214nm£¨Ä©¶ËÎüÊÕ£©
QQͼƬ20131121141151.jpg


ΪʲôÕâ¸ö½á¹û£¬×î´ó×ÏÍâÎüÊÕÔÚ214nm£¨Ä©¶ËÎüÊÕ£©-1
imgsrv.png
»Ø¸´´ËÂ¥

» ²ÂÄãϲ»¶

» ±¾Ö÷ÌâÏà¹Ø¼ÛÖµÌùÍÆ¼ö£¬¶ÔÄúͬÑùÓаïÖú:

ÒÑÔÄ   »Ø¸´´ËÂ¥   ¹Ø×¢TA ¸øTA·¢ÏûÏ¢ ËÍTAºì»¨ TAµÄ»ØÌû

raulsam1984

ľ³æ (ÖøÃûдÊÖ)

Â¥Ö÷£¬ÄãÕâ¸ö»¯ºÏÎï¿Û³ýÁ˿հ×ÁËÂð£¿
2Â¥2013-11-21 15:09:36
ÒÑÔÄ   »Ø¸´´ËÂ¥   ¹Ø×¢TA ¸øTA·¢ÏûÏ¢ ËÍTAºì»¨ TAµÄ»ØÌû
Ïà¹Ø°æ¿éÌø×ª ÎÒÒª¶©ÔÄÂ¥Ö÷ a11520 µÄÖ÷Ìâ¸üÐÂ
×î¾ßÈËÆøÈÈÌûÍÆ¼ö [²é¿´È«²¿] ×÷Õß »Ø/¿´ ×îºó·¢±í
[¿¼ÑÐ] Ò»Ö¾Ô¸»ª¶«Àí¹¤085601²ÄÁϹ¤³Ì303·ÖÇóµ÷¼Á +6 a1708 2026-04-06 6/300 2026-04-06 22:37 by guanxin1001
[¿¼ÑÐ] 08600ÉúÎïÓëÒ½Ò©-327 +9 18755400796 2026-04-05 9/450 2026-04-06 22:35 by 52305043001
[¿¼ÑÐ] ¿¼Ñе÷¼ÁÒ»Ö¾Ô¸±±¿ó°²È«¿ÆÑ§Ó빤³Ìѧ˶316 +3 WwwwwwwÍÛ 2026-04-06 3/150 2026-04-06 20:55 by lbsjt
[¿¼ÑÐ] ÉúÎïѧѧ˶Çóµ÷¼Á£º351·ÖÒ»Ö¾Ô¸ÄϾ©Ê¦·¶´óѧÉúÎïѧרҵ +6 ¡­¡«¡¢Íõ¡­¡« 2026-04-06 7/350 2026-04-06 18:54 by macy2011
[¿¼ÑÐ] ²ÄÁϹ¤³Ì310ר˶µ÷¼Á +14 ÀÌÀÌÎÒ¡­. 2026-04-04 15/750 2026-04-06 14:18 by lqwchd
[¿¼ÑÐ] 085602µ÷¼Á ³õÊÔ×Ü·Ö335 +9 19123253302 2026-04-05 9/450 2026-04-06 06:14 by houyaoxu
[¿¼ÑÐ] ²ÄÁÏר˶322·Ö +10 ¹þ¹þ¹þºðºðºð¹þ 2026-04-04 10/500 2026-04-05 21:22 by ѧԱ8dgXkO
[¿¼ÑÐ] Çóµ÷¼Á +7 ÕÅ.1 2026-04-05 7/350 2026-04-05 20:40 by à£à£à£0119
[¿¼ÑÐ] µ÷¼Á +3 Àî¹ã»ð 2026-04-05 3/150 2026-04-05 18:57 by À¶ÔÆË¼Óê
[¿¼ÑÐ] ¿¼Ñе÷¼ÁÉúѰÕÒµ¼Ê¦ +3 ¹ËÕ°¿¼Ñа¡ 2026-04-05 3/150 2026-04-05 18:18 by à£à£à£0119
[¿¼ÑÐ] ²ÄÁϹ¤³Ì085601Êý¶þÓ¢Ò»335Çóµ÷¼Á +6 Ë«ÂíβƦÀϰå2 2026-03-31 6/300 2026-04-04 22:29 by hemengdong
[¿¼ÑÐ] ²ÄÁϵ÷¼Á +18 Ò»ÑùYWY 2026-04-02 19/950 2026-04-04 22:14 by hemengdong
[¿¼ÑÐ] ѧ˶288µ÷¼Á!!! +3 СÍõxw123 2026-04-03 3/150 2026-04-03 21:20 by à£à£à£0119
[»ù½ðÉêÇë] ÇëÎʹ²Í¬Í¨Ñ¶ºÍ¹²Í¬Ò»×÷µÄÈϿɶÈÎÊÌâ 10+4 psa1234 2026-04-01 10/500 2026-04-03 11:08 by Kittylucky
[¿¼ÑÐ] һ־Ըɽ¶«´óѧ£¬085600£¬344 +7 κ×Óper 2026-04-02 8/400 2026-04-02 21:12 by °ÙÁéͯ888
[¿¼ÑÐ] 22408 266Çóµ÷¼Á +3 masss11222 2026-04-02 3/150 2026-04-02 18:11 by ±ÊÂä½õÖÝ
[¿¼ÑÐ] 285Çóµ÷¼Á +14 AZMK 2026-04-02 14/700 2026-04-02 15:54 by ÉϾÅÌìÀ¿Ô£¨ºÃÔ
[¿¼ÑÐ] 085410 Ò»Ö¾Ô¸211 22408·ÖÊý359Çóµ÷¼Á +3 123456789qw 2026-03-31 4/200 2026-04-02 00:06 by ÒåÎÄwang
[¿¼ÑÐ] ²ÄÁϵ÷¼Á +11 Ò»ÑùYWY 2026-03-31 11/550 2026-04-01 22:25 by zhouyuwinner
[¿¼ÑÐ] Ò»Ö¾Ô¸Î÷µç085401ÊýÒ»Ó¢Ò»299Çóµ÷¼Á Áù¼¶521 +4 °®³Ô´óѼÀæ 2026-03-31 4/200 2026-03-31 11:51 by ²«»÷518
ÐÅÏ¢Ìáʾ
ÇëÌî´¦ÀíÒâ¼û