版块导航
正在加载中...
客户端APP下载
登录
注册
帖子
帖子
用户
本版
应《网络安全法》要求,自2017年10月1日起,未进行实名认证将不得使用互联网跟帖服务。为保障您的帐号能够正常使用,请尽快对帐号进行手机号验证,感谢您的理解与支持!
24小时热门版块排行榜
>
论坛更新日志
(3610)
>
导师招生
(1681)
>
招聘信息布告栏
(383)
>
虫友互识
(375)
>
文献求助
(356)
>
基金申请
(132)
>
考博
(131)
>
博后之家
(100)
>
论文投稿
(86)
>
休闲灌水
(77)
>
硕博家园
(73)
>
找工作
(72)
>
攻关文献(高奖励)
(54)
>
公派出国
(40)
>
催化
(39)
>
教师之家
(36)
小木虫论坛-学术科研互动平台
»
专业学科区
»
数学
»
计算数学
»
求解一个有关矢量的表达式
5
1/1
返回列表
查看: 601 | 回复: 4
只看楼主
@他人
存档
新回复提醒
(忽略)
收藏
在APP中查看
阿萨德A1
铁杆木虫
(著名写手)
应助: 6
(幼儿园)
金币: 6893.8
散金: 24
帖子: 1242
在线: 809.8小时
虫号: 1320105
注册: 2011-06-10
专业: 零件加工制造
[
求助
]
求解一个有关矢量的表达式
方程如下图:
求解关于柱坐标系中用曲面方程表示f的一般表达式
公式图片.jpg
回复此楼
» 猜你喜欢
本人最近太闲了,谁有问题可以提,每天会统一回复
已经有17人回复
教学课件你会给同学吗
已经有5人回复
申博自荐
已经有6人回复
这年头没有找到涵评专家,还有中面上的可能吗
已经有8人回复
材料类只有一篇综述能申博么
已经有4人回复
风把牡丹吹跑了
已经有3人回复
请问大佬b0816评完了吗
已经有7人回复
评审感受-评审感受-评审感受
已经有16人回复
青C资助名额大幅增加!
已经有12人回复
重磅!青年科学基金项目(C类)资助增幅预计超过50%
已经有6人回复
» 本主题相关价值贴推荐,对您同样有帮助:
两小球碰撞模型,角速度方向问题,张量?矢量?
已经有9人回复
曲线拟合的问题,实在找不到曲线拟合表达式,求解
已经有8人回复
求解关于正态分布表达式的问题
已经有6人回复
怎么找出lapack函数及函数的使用方法
已经有8人回复
关于相场晶体理论
已经有6人回复
如何自定义一个矢量函数,并在计算域内求解这个矢量函数且将矢量图绘制出来!
已经有5人回复
fluent中的体热源加载问题(实际上是热流密度,不是热生成率)
已经有19人回复
求教:动量传递
已经有7人回复
请问点电荷的电势表达式是什么
已经有4人回复
【求助】氢原子波函数什么时候用指数函数,什么时候用三角函数?
已经有7人回复
1楼
2013-11-17 16:25:36
已阅
回复此楼
关注TA
给TA发消息
送TA红花
TA的回帖
feixiaolin
荣誉版主
(文坛精英)
专家经验: +518
应助: 942
(博后)
贵宾: 1.275
金币: 3880
散金: 58785
红花: 532
沙发: 11
帖子: 24215
在线: 2601.8小时
虫号: 2139575
注册: 2012-11-21
专业: 光学信息获取与处理
管辖:
数学
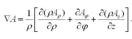
关键是确定▽A
11.JPG
赞
一下
回复此楼
2楼
2013-11-17 18:21:54
已阅
回复此楼
关注TA
给TA发消息
送TA红花
TA的回帖
阿萨德A1
铁杆木虫
(著名写手)
应助: 6
(幼儿园)
金币: 6893.8
散金: 24
帖子: 1242
在线: 809.8小时
虫号: 1320105
注册: 2011-06-10
专业: 零件加工制造
引用回帖:
2楼
:
Originally posted by
feixiaolin
at 2013-11-17 18:21:54
关键是确定▽A
11.JPG
感谢您的回复,那请问n怎么处理?不用求函数外法线吗,可否给详细推到下
赞
一下
回复此楼
3楼
2013-11-18 09:59:41
已阅
回复此楼
关注TA
给TA发消息
送TA红花
TA的回帖
feixiaolin
荣誉版主
(文坛精英)
专家经验: +518
应助: 942
(博后)
贵宾: 1.275
金币: 3880
散金: 58785
红花: 532
沙发: 11
帖子: 24215
在线: 2601.8小时
虫号: 2139575
注册: 2012-11-21
专业: 光学信息获取与处理
管辖:
数学
引用回帖:
3楼
:
Originally posted by
阿萨德A1
at 2013-11-18 09:59:41
感谢您的回复,那请问n怎么处理?不用求函数外法线吗,可否给详细推到下...
模值归一化偏导矢量数
赞
一下
回复此楼
4楼
2013-11-18 10:44:09
已阅
回复此楼
关注TA
给TA发消息
送TA红花
TA的回帖
阿萨德A1
铁杆木虫
(著名写手)
5楼
2013-11-18 12:32:41
已阅
回复此楼
关注TA
给TA发消息
送TA红花
TA的回帖
相关版块跳转
数理科学综合
机械
物理
数学
农林
食品
地学
能源
信息科学
土木建筑
航空航天
转基因
我要订阅楼主
阿萨德A1
的主题更新
5
1/1
返回列表
如果回帖内容含有宣传信息,请如实选中。否则帐号将被全论坛禁言
普通表情
龙
兔
虎
猫
百度网盘
|
360云盘
|
千易网盘
|
华为网盘
在新窗口页面中打开自己喜欢的网盘网站,将文件上传后,然后将下载链接复制到帖子内容中就可以了。
信息提示
关闭
请填处理意见
关闭
确定