| 查看: 458 | 回复: 0 | |||
[交流]
求助微扰展开
|
|
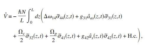
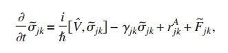
相互作用哈密顿量和海森堡朗之万方程如图所示,现在需要把海森堡朗之万方程线性化,就是把as和aas的场看做微扰,然后求海森堡朗之万方程的零阶微扰展开和一阶微扰展开,零阶微扰展开的结果如图所示,我想请问大家如何微扰展开?? 1.jpg 2.jpg 3.jpg |
» 猜你喜欢
一志愿大连理工大学材料求调剂
已经有5人回复
材料与化工调剂一志愿大连海事085600,349
已经有6人回复
一志愿中海洋320化学工程与技术学硕求调剂
已经有4人回复
材料科学与工程调剂
已经有11人回复
311求调剂一志愿合肥工业大学
已经有4人回复
一志愿食品科学与工程083200求调剂
已经有4人回复
材料科学与工程求调剂
已经有10人回复
一志愿北化085600材料专硕275|有文章专利|求调剂
已经有11人回复
一志愿 南京航空航天大学 ,080500材料科学与工程学硕
已经有4人回复
085600材料与化工调剂
已经有15人回复
找到一些相关的精华帖子,希望有用哦~
关于量子场论中一些几率幅的物理解释的疑问
已经有7人回复
杂谈量子化学中的简化招数,和SCC-DFTB模型
已经有24人回复
求高手将以下computational method翻译成中文,专业术语太多不知道怎么翻译
已经有11人回复
【sobereva个人文集】乱弹DFT-D(从sobereva的博客中转载过来的)
已经有27人回复
【求助】求助展开剂,急急急!
已经有13人回复
【coolrainbow个人文集】从手算理解量子化学:H2体系的量子化学计算(pdf+程序)
已经有65人回复
求助:配展开剂
已经有4人回复
【讨论】密度泛函理论与薛定谔方程的关系?
已经有7人回复
【求助】向内行请教关于非线性光学的物理机制
已经有7人回复
【sobereva个人文集】电子定域性的图形分析
已经有56人回复
【求助】展开剂配比
已经有3人回复
【求助】紧束缚模型与薛定谔方程的区别与联系
已经有13人回复
【求助】薄层展开剂选择问题
已经有12人回复
【求助】求高人指点量化学习方法
已经有27人回复
科研从小木虫开始,人人为我,我为人人














回复此楼
点击这里搜索更多相关资源