| 查看: 3543 | 回复: 8 | ||
yywx铁杆木虫 (著名写手)
|
[求助]
如何进行蠕变曲线拟合
|
|
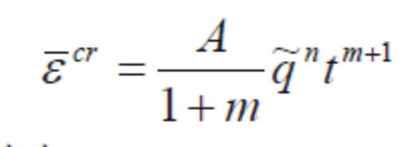
大家好, 对于蠕变模型 power-law 公式,根据实验结果,可以得到在不同stress下的蠕变应变和时间的曲线图,如何通过matlab软件求出对应的A,m.n值呢?谢谢大家。 新建 CorelDRAW 12.jpg |
» 猜你喜欢
投稿Elsevier的Neoplasia杂志,到最后选publishing options时页面空白,不能完成投稿
已经有22人回复
申请26博士
已经有5人回复
职称评审没过,求安慰
已经有22人回复
垃圾破二本职称评审标准
已经有15人回复
EST投稿状态问题
已经有7人回复
毕业后当辅导员了,天天各种学生超烦
已经有4人回复
聘U V热熔胶研究人员
已经有10人回复
求助文献
已经有3人回复
投稿返修后收到这样的回复,还有希望吗
已经有8人回复
三无产品还有机会吗
已经有6人回复
» 本主题相关价值贴推荐,对您同样有帮助:
关于使用lsqcurvefit进行最小二乘曲线拟合时候出现的误差巨大问题求助!!!
已经有7人回复
怎么用origin软件对一个函数直线:Y=A+BX进行指数曲线拟合
已经有4人回复
origin软件进行曲线拟合后,怎样保存拟合的曲线和它的数据?
已经有3人回复
【求助】FLUENT 非稳态,如何导出截面上的数据
已经有8人回复
对数据进行曲线拟合后如何得到拟合误差
已经有30人回复
SPSS可以进行药动学曲线拟合吗?如何进行啊?
已经有3人回复
powersuite进行塔菲尔曲线拟合,那种结果好些?
已经有8人回复
【求助】Mo的XPS分析【麻烦大家了】
已经有16人回复
求助:spss软件中virial方程进行曲线拟合
已经有4人回复
【其他】如何进行最小二乘法的曲线拟合 或 给个最小二乘拟合软件
已经有6人回复
lchenghe
金虫 (正式写手)
- 应助: 12 (小学生)
- 金币: 1268.1
- 红花: 9
- 帖子: 448
- 在线: 44.9小时
- 虫号: 2142057
- 注册: 2012-11-22
- 性别: GG
- 专业: 金属材料的力学行为

2楼2013-10-28 18:59:21
yywx
铁杆木虫 (著名写手)
- 应助: 27 (小学生)
- 金币: 6247.8
- 散金: 1080
- 红花: 4
- 帖子: 1809
- 在线: 1909小时
- 虫号: 723834
- 注册: 2009-03-16
- 性别: GG
- 专业: 金属材料的力学行为
3楼2013-10-28 22:22:18
4楼2013-12-11 09:18:55
jwfu
至尊木虫 (文坛精英)
- 应助: 17 (小学生)
- 金币: 21031.8
- 散金: 81
- 红花: 21
- 沙发: 3
- 帖子: 12262
- 在线: 911.5小时
- 虫号: 680446
- 注册: 2008-12-23
- 性别: GG
- 专业: 金属材料的合金相、相变及

5楼2014-02-21 09:38:16
zhuxqstyle
银虫 (著名写手)
- 应助: 16 (小学生)
- 金币: 4577
- 红花: 1
- 帖子: 1148
- 在线: 1392小时
- 虫号: 1574029
- 注册: 2012-01-11
- 专业: 机械结构强度学
6楼2015-06-27 15:53:38
7楼2015-12-11 10:28:50
8楼2016-03-25 08:51:29
jwfu
至尊木虫 (文坛精英)
- 应助: 17 (小学生)
- 金币: 21031.8
- 散金: 81
- 红花: 21
- 沙发: 3
- 帖子: 12262
- 在线: 911.5小时
- 虫号: 680446
- 注册: 2008-12-23
- 性别: GG
- 专业: 金属材料的合金相、相变及

9楼2016-11-27 15:46:16













回复此楼