| 查看: 4272 | 回复: 1 | ||
[求助]
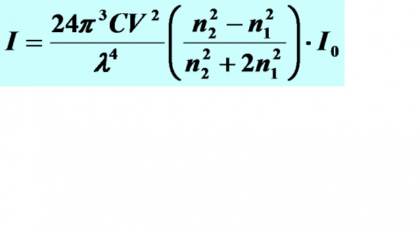
瑞利散射公式
|
||
|
|
||
|
||
|
2楼2020-06-27 04:25:19
|
|













回复此楼