| 查看: 1744 | 回复: 1 | ||
tory1987木虫 (著名写手)
|
[求助]
大家帮我看看热重-红外联用的热重谱图呗
|
|
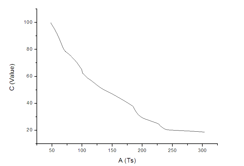
用Ts对Value画的图是这个样子的,请大家帮我看看,这种图能不能用在毕业论文里面啊,我的物质对水非常敏感,平时制备过程都是在手套箱里面进行的,但是测试过程只能在空气中装样啊,怎么办,为了测试,妹子我都绞尽脑汁了,还是只能做成这个样子,拜托拜托啦 1.gif |
» 猜你喜欢
328求调剂
已经有7人回复
340求调剂
已经有5人回复
一志愿南昌大学324求调剂
已经有4人回复
求调剂推荐 材料 304
已经有15人回复
291求调剂
已经有19人回复
331环境科学与工程求调剂
已经有3人回复
289求调剂
已经有8人回复
315分求调剂
已经有7人回复
295求调剂
已经有6人回复
291求调剂
已经有7人回复
» 本主题相关价值贴推荐,对您同样有帮助:
北京或者天津,哪里有热重红外联用仪 TG-IR呢?
已经有6人回复
下面的图是什么仪器测出来,是红外?
已经有10人回复
北京哪里可以做热重红外联用
已经有4人回复
五水硫酸铜的热重分析
已经有8人回复
热重分析结果是否和加入样品量有关?
已经有8人回复
热重红外联用中 Gram-Schmidt 意思
已经有3人回复
红外与DTG测试曲线能求的是什么物质么?
已经有7人回复
哪里可以测热重-红外-质谱或热重-质谱联用
已经有9人回复
差热热重分析?
已经有12人回复
热重图不会看啊
已经有10人回复
热重TG图分析
已经有12人回复
关于热重分析软件
已经有6人回复
差重热分析谱图上为何没有物质的熔点(合成的物质为固体)
已经有7人回复
求助修改热重图X轴坐标
已经有5人回复
DSC热分析图谱分析
已经有14人回复
500金币求软件,谁能帮忙读一下热重-红外连用(TG-IR)的srs后缀文件格式,谢谢!
已经有5人回复
【求助】谁知道怎么进行热重谱图分析呀
已经有5人回复
【讨论】做过热重分析的请进
已经有14人回复
【求助】请问哪位能给介绍下差热热重分析的详细用途呢?
已经有3人回复
【讨论】红外谱图分析
已经有5人回复
【求助】红外光谱能定量分析吗?
已经有35人回复
请问向SD的杂志投稿是否需要提供核磁、质谱、红外、热重等的原始谱图
已经有4人回复

阡陌蔓
木虫 (正式写手)
- 应助: 6 (幼儿园)
- 金币: 1670.9
- 散金: 131
- 红花: 7
- 帖子: 523
- 在线: 254.8小时
- 虫号: 1442812
- 注册: 2011-10-14
- 性别: MM
- 专业: 能源化工

2楼2013-09-02 10:04:57














回复此楼