24小时热门版块排行榜    

北京石油化工学院2026年研究生招生接收调剂公告
查看: 2026  |  回复: 19

adrian3222

金虫 (正式写手)


[交流] 请教各位,这样材料算有介孔吗

小弟采用一定方法制备了以下微孔-介孔材料,老师一直说我这不是介孔材料,TEM看到的孔与BET里显示的孔都是表面缺陷。而我认为这样的材料以微孔为主,介孔分布并不均匀而已,但是孔还是晶内孔。请问我该怎么反驳他呢?
普通材料,微孔0.24,介孔0.03;这种材料,微孔0.1,介孔0.3。
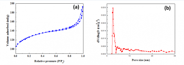
N2等温吸附线 \"请教各位,这样材料算有介孔吗\"
孔径分布 \"请教各位,这样材料算有介孔吗-1\"
TEM图  \"请教各位,这样材料算有介孔吗-2\"

请教各位,这样材料算有介孔吗-3
TEM.png
请教各位,这样材料算有介孔吗-4
1.png

[ Last edited by adrian3222 on 2013-7-16 at 15:15 ]
回复此楼

» 收录本帖的淘帖专辑推荐

BET,BJH,PORE 多孔材料

» 猜你喜欢

» 本主题相关商家推荐: (我也要在这里推广)

» 本主题相关价值贴推荐,对您同样有帮助:

» 抢金币啦!回帖就可以得到:

查看全部散金贴

已阅   回复此楼   关注TA 给TA发消息 送TA红花 TA的回帖
★ ★
adrian3222(金币+1): 谢谢参与
非文王木木: 金币+1, 感谢交流···欢迎常来 2013-07-16 13:05:30
没有介孔,你老师说的是对的。后面高压区的回滞环是颗粒间的间隙孔造成。同时从孔径分布图来看,后面都是接近于X轴的,说明介孔也没有。你这个材料应该是微孔材料。
2楼2013-07-16 10:20:00
已阅   回复此楼   关注TA 给TA发消息 送TA红花 TA的回帖

adrian3222

金虫 (正式写手)


引用回帖:
2楼: Originally posted by 上官小仙 at 2013-07-16 10:20:00
没有介孔,你老师说的是对的。后面高压区的回滞环是颗粒间的间隙孔造成。同时从孔径分布图来看,后面都是接近于X轴的,说明介孔也没有。你这个材料应该是微孔材料。

刚才传的有点问题,您看看现在的。我认为有介孔,只是介孔不多而已
4楼2013-07-16 10:36:53
已阅   回复此楼   关注TA 给TA发消息 送TA红花 TA的回帖

adrian3222

金虫 (正式写手)


求交流啊...
5楼2013-07-16 11:38:41
已阅   回复此楼   关注TA 给TA发消息 送TA红花 TA的回帖
引用回帖:
4楼: Originally posted by adrian3222 at 2013-07-16 10:36:53
刚才传的有点问题,您看看现在的。我认为有介孔,只是介孔不多而已...

看到了,从TEM图可以看到,你这是纳米颗粒之间形成的20nm左右的间隙孔造成高压区有回滞环的。并不是自身的孔
6楼2013-07-16 12:07:51
已阅   回复此楼   关注TA 给TA发消息 送TA红花 TA的回帖

wendy3

金虫 (文坛精英)



adrian3222(金币+1): 谢谢参与
深深祝福
7楼2013-07-16 12:22:17
已阅   回复此楼   关注TA 给TA发消息 送TA红花 TA的回帖

heibi

金虫 (文坛精英)



adrian3222(金币+1): 谢谢参与
Best wishes
8楼2013-07-16 12:24:21
已阅   回复此楼   关注TA 给TA发消息 送TA红花 TA的回帖
★ ★
adrian3222(金币+1): 谢谢参与
非文王木木: 金币+1, 感谢交流···欢迎常来 2013-07-16 14:44:32

晶粒堆积的介孔,由吸附等温线滞后环的形状和电镜可以看出。同时材料含有微孔。BET模型理论用来计算比表面积,你是怎么得到“显示的孔都是表面缺陷”?
9楼2013-07-16 12:39:25
已阅   回复此楼   关注TA 给TA发消息 送TA红花 TA的回帖

1297209391

银虫 (正式写手)



adrian3222(金币+1): 谢谢参与
不知道
10楼2013-07-16 12:57:27
已阅   回复此楼   关注TA 给TA发消息 送TA红花 TA的回帖

段小飞

至尊木虫 (文坛精英)


★ ★
adrian3222(金币+1): 谢谢参与
非文王木木: 金币+1, 感谢交流···欢迎常来 2013-07-16 14:44:37
看看比表面数据如何,若是较大,应该有介孔
12楼2013-07-16 14:23:43
已阅   回复此楼   关注TA 给TA发消息 送TA红花 TA的回帖

adrian3222

金虫 (正式写手)


引用回帖:
12楼: Originally posted by 段小飞 at 2013-07-16 14:23:43
看看比表面数据如何,若是较大,应该有介孔

普通材料,微孔0.24,介孔0.03。这种介孔材料,介孔0.3,微孔0.11
我认为对于主要是微孔的材料,看比表面积是不合适的。因为这是N2 BET,应该用其他直径更小的分子作为气体测出来的才更准确。但是看孔容是可以的。您觉得呢?
14楼2013-07-16 15:13:40
已阅   回复此楼   关注TA 给TA发消息 送TA红花 TA的回帖

belbatov999

银虫 (小有名气)


★ ★
adrian3222(金币+1): 谢谢参与
非文王木木: 金币+1, 感谢交流···欢迎常来 2013-07-17 09:58:48
的确是各个晶体间隙造成的,滞后环和一般的介孔结构的也有区别。。
18楼2013-07-17 09:42:30
已阅   回复此楼   关注TA 给TA发消息 送TA红花 TA的回帖

romami

铜虫 (正式写手)



adrian3222(金币+1): 谢谢参与
引用回帖:
18楼: Originally posted by belbatov999 at 2013-07-17 09:42:30
的确是各个晶体间隙造成的,滞后环和一般的介孔结构的也有区别。。

BET的滞后环显示是介孔吧,只是结合TEM后可以看到是堆砌所带来的介孔而已。
19楼2013-07-17 09:59:03
已阅   回复此楼   关注TA 给TA发消息 送TA红花 TA的回帖

loneox

金虫 (小有名气)



adrian3222(金币+1): 谢谢参与
高压区的回滞很有可能属于interparticles
20楼2015-03-27 23:46:28
已阅   回复此楼   关注TA 给TA发消息 送TA红花 TA的回帖
简单回复
hyjhwuh3楼
2013-07-16 10:36   回复  
adrian3222(金币+1): 谢谢参与
1
ymyyy11楼
2013-07-16 14:00   回复  
adrian3222(金币+1): 谢谢参与
gonghrui13楼
2013-07-16 14:29   回复  
adrian3222(金币+1): 谢谢参与
userhung15楼
2013-07-16 15:38   回复  
adrian3222(金币+1): 谢谢参与
2013-07-16 16:02   回复  
adrian3222(金币+1): 谢谢参与
天涯201217楼
2013-07-16 16:03   回复  
adrian3222(金币+1): 谢谢参与
相关版块跳转 我要订阅楼主 adrian3222 的主题更新
普通表情 高级回复 (可上传附件)
最具人气热帖推荐 [查看全部] 作者 回/看 最后发表
[考研] 食品工程专硕一志愿中海洋309求调剂 +5 小张zxy张 2026-03-26 10/500 2026-03-31 00:29 by jp9609
[考研] 一志愿华中师范化学332分求调剂 +3 Lyy930824@ 2026-03-29 3/150 2026-03-30 20:15 by DHUSHUAI
[考研] 085600 材料与化工 329分求调剂 +18 Mr. Z 2026-03-25 19/950 2026-03-30 19:01 by Wang200018
[考研] 化工专硕求调剂 +5 question挽风 2026-03-24 5/250 2026-03-30 18:34 by tianyyysss
[考研] 一志愿厦门大学材料工程专硕354找调剂!!! +5 贝呗钡钡 2026-03-30 5/250 2026-03-30 18:16 by 无际的草原
[考研] 材料专硕调剂 +11 椰椰。 2026-03-29 11/550 2026-03-30 16:21 by wangjy2002
[考研] 262求调剂 +4 ZZ..000 2026-03-30 4/200 2026-03-30 15:57 by wangjy2002
[考研] 求调剂 +7 青春裁为三截 2026-03-29 7/350 2026-03-30 13:14 by laoshidan
[考研] 0703本科郑州大学求调剂 +7 nhj_ 2026-03-25 7/350 2026-03-30 12:44 by fangnagu
[考研] 283求调剂(080500) +14 A child 2026-03-27 14/700 2026-03-30 12:06 by 探123
[考研] 289求调剂 +5 BrightLL 2026-03-29 5/250 2026-03-29 17:24 by zhyzzh
[考研] 一志愿厦门大学化学学硕307求调剂 +10 y7czhao 2026-03-26 10/500 2026-03-28 14:23 by 唐沐儿
[考研] 070300求调剂306分 +4 26要上岸 2026-03-27 4/200 2026-03-28 13:06 by 唐沐儿
[考研] 331环境科学与工程求调剂 +3 熠然好运气 2026-03-27 3/150 2026-03-28 04:11 by fmesaito
[考研] 266求调剂 +11 阳阳哇塞 2026-03-27 12/600 2026-03-27 17:56 by yu221
[考研] 316求调剂 +5 Pigcasso 2026-03-24 5/250 2026-03-27 12:10 by zhshch
[考研] 调剂 +3 李嘉图·S·路 2026-03-27 3/150 2026-03-27 11:19 by wangjy2002
[考研] 07化学303求调剂 +5 睿08 2026-03-25 5/250 2026-03-25 22:46 by 418490947
[考研] 材料专硕 335 分求调剂 +4 拒绝冷暴力 2026-03-25 4/200 2026-03-25 18:45 by haxia
[考研] 求b区院校调剂 +4 周56 2026-03-24 5/250 2026-03-25 17:12 by yishunmin
信息提示
请填处理意见