²é¿´: 1110  |  »Ø¸´: 4

СºÉ¼â¼âaaa

Òø³æ (СÓÐÃûÆø)

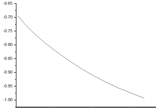
[ÇóÖú] Äøµç¼«ºãÁ÷³ä·Åµç²âÊÔ£¬´ó¼Ò°ïæ¿´¿´ÊÇÄÄÀï³öÎÊÌâÁË

̼²ÄÁÏÔÚ6M KOHµç½âÒºÖУ¬Ê¹ÓÃchi660c²âÊÔºãÁ÷³ä·Åµç£¬ÎªÊ²Ã´³ö²»À´Èý½Ç¶Ô³ÆµÄ³ä·ÅµçÇúÏßÄØ£¿´ó¼Ò°ïæ·ÖÎöһϰ¡£¬ÇóÖ¸µã
Äøµç¼«ºãÁ÷³ä·Åµç²âÊÔ£¬´ó¼Ò°ïæ¿´¿´ÊÇÄÄÀï³öÎÊÌâÁË
1.png


Äøµç¼«ºãÁ÷³ä·Åµç²âÊÔ£¬´ó¼Ò°ïæ¿´¿´ÊÇÄÄÀï³öÎÊÌâÁË-1
2.png
»Ø¸´´ËÂ¥

» ²ÂÄãϲ»¶

» ±¾Ö÷ÌâÏà¹ØÉ̼ÒÍÆ¼ö: (ÎÒÒ²ÒªÔÚÕâÀïÍÆ¹ã)

» ±¾Ö÷ÌâÏà¹Ø¼ÛÖµÌùÍÆ¼ö£¬¶ÔÄúͬÑùÓаïÖú:

ÒÑÔÄ   »Ø¸´´ËÂ¥   ¹Ø×¢TA ¸øTA·¢ÏûÏ¢ ËÍTAºì»¨ TAµÄ»ØÌû

echoli

ľ³æ (ÕýʽдÊÖ)

¡¾´ð°¸¡¿Ó¦Öú»ØÌû

¡ï ¡ï
¸Ðл²ÎÓ룬ӦÖúÖ¸Êý +1
857688363: ½ð±Ò+2, ¸ÐлӦÖú 2013-07-09 22:07:15
ΪʲôÄãµÄ³ä·ÅµçͼµÄ×îµÍµçѹºÍ×î¸ßµçѹ¶¼²»Ò»Ñù£¿Õâ¸ö²»Êdzä·Åµç°É
ŬÁ¦£¬Å¬Á¦£¬ÔÙŬÁ¦
2Â¥2013-07-09 18:52:46
ÒÑÔÄ   »Ø¸´´ËÂ¥   ¹Ø×¢TA ¸øTA·¢ÏûÏ¢ ËÍTAºì»¨ TAµÄ»ØÌû

СºÉ¼â¼âaaa

Òø³æ (СÓÐÃûÆø)

ÒýÓûØÌû:
2Â¥: Originally posted by echoli at 2013-07-09 18:52:46
ΪʲôÄãµÄ³ä·ÅµçͼµÄ×îµÍµçѹºÍ×î¸ßµçѹ¶¼²»Ò»Ñù£¿Õâ¸ö²»Êdzä·Åµç°É

ÎÒÒ²ºÜÀ§»ó£¬ÄÇÇëÎʲâÊÔµÄʱºò²ÎÊýÓ¦¸ÃÊÇÔõôÉèµÄ£¿ÇóÖ¸µã
3Â¥2013-07-10 08:51:54
ÒÑÔÄ   »Ø¸´´ËÂ¥   ¹Ø×¢TA ¸øTA·¢ÏûÏ¢ ËÍTAºì»¨ TAµÄ»ØÌû

sunchenerik

½ð³æ (СÓÐÃûÆø)

¡¾´ð°¸¡¿Ó¦Öú»ØÌû

¸Ðл²ÎÓ룬ӦÖúÖ¸Êý +1
ÊDz»ÊÇÁéÃô¶ÈÌ«¸ßÁË£¿
ÈËÉúµÄÒâÒåÔÚÓڷܶ·
4Â¥2013-07-10 12:15:46
ÒÑÔÄ   »Ø¸´´ËÂ¥   ¹Ø×¢TA ¸øTA·¢ÏûÏ¢ ËÍTAºì»¨ TAµÄ»ØÌû

echoli

ľ³æ (ÕýʽдÊÖ)

¡¾´ð°¸¡¿Ó¦Öú»ØÌû

ÒýÓûØÌû:
3Â¥: Originally posted by СºÉ¼â¼âaaa at 2013-07-10 08:51:54
ÎÒÒ²ºÜÀ§»ó£¬ÄÇÇëÎʲâÊÔµÄʱºò²ÎÊýÓ¦¸ÃÊÇÔõôÉèµÄ£¿ÇóÖ¸µã...

³ä·ÅµçÁ÷ÉèÖõÄÒ»Ñù°¡£¬¸ßµçѹºÍµÍµçѹ¾ÍÒ»¸ö£¬Ò»°ãÉèÖü¸²¿·Ö¾ÍÊdzä·Å¼¸´Îµç£¬³äÍêºó¾Í·Åµç£¬²»ÊÇ·Ö¿ªµÄ
ŬÁ¦£¬Å¬Á¦£¬ÔÙŬÁ¦
5Â¥2013-07-10 21:58:34
ÒÑÔÄ   »Ø¸´´ËÂ¥   ¹Ø×¢TA ¸øTA·¢ÏûÏ¢ ËÍTAºì»¨ TAµÄ»ØÌû
Ïà¹Ø°æ¿éÌø×ª ÎÒÒª¶©ÔÄÂ¥Ö÷ СºÉ¼â¼âaaa µÄÖ÷Ìâ¸üÐÂ
×î¾ßÈËÆøÈÈÌûÍÆ¼ö [²é¿´È«²¿] ×÷Õß »Ø/¿´ ×îºó·¢±í
[¿¼ÑÐ] 0703 ÎïÀí»¯Ñ§µ÷¼Á +3 ÎÒ¿ÉÒÔÉϰ¶µÄ¶Ô 2026-03-13 5/250 2026-03-16 10:50 by ÎÒ¿ÉÒÔÉϰ¶µÄ¶ÔÂ
[¿¼ÑÐ] 327Çóµ÷¼Á +6 ʰ¹âÈÎȾ 2026-03-15 11/550 2026-03-15 22:47 by ʰ¹âÈÎȾ
[¿¼ÑÐ] ²ÄÁÏר˶326Çóµ÷¼Á +4 Ä«ìÏæ¦Ý· 2026-03-15 4/200 2026-03-15 11:02 by dyw
[¿¼ÑÐ] 311Çóµ÷¼Á +3 26ÑÐ0 2026-03-15 3/150 2026-03-15 09:12 by JourneyLucky
[¿¼ÑÐ] ²ÄÁϹ¤³Ì327Çóµ÷¼Á +3 xiaohe12w 2026-03-11 3/150 2026-03-14 20:20 by ms629
[¿¼ÑÐ] Öпƴó²ÄÁÏÓ뻯¹¤319Çóµ÷¼Á +3 ÃÏöβÄÁÏ 2026-03-14 3/150 2026-03-14 20:10 by ms629
[¿¼ÑÐ] ¡¾0703»¯Ñ§µ÷¼Á¡¿-Ò»Ö¾Ô¸»ªÖÐʦ·¶´óѧ-Áù¼¶475 +5 Becho359 2026-03-11 5/250 2026-03-14 11:35 by ŶŶ123
[¿¼ÑÐ] ²ÄÁÏ080500µ÷¼ÁÇóÊÕÁô +3 Ò»¿Åmeteor 2026-03-13 3/150 2026-03-14 10:54 by peike
[¿¼ÑÐ] 085600Çóµ÷¼Á +3 aÉÛÐÇ³Ø 2026-03-09 3/150 2026-03-14 01:32 by JourneyLucky
[¿¼ÑÐ] Ò»Ö¾Ô¸Ö£´ó070303£¬338·Ö£¬Çóµ÷¼Á +4 dadawaf 2026-03-10 5/250 2026-03-14 01:20 by lsw010101
[¿¼ÑÐ] ¿¼ÑвÄÁÏÓ뻯¹¤£¬Çóµ÷¼Á +8 Ï·¾«µ¤µ¤µ¤ 2026-03-09 8/400 2026-03-14 01:14 by JourneyLucky
[¿¼ÑÐ] 2026¿¼Ñе÷¼Á+±¾¿ÆÑӱߴóѧ+ɽ¶«´óѧ+ÉúÎﻯѧÓë·Ö×ÓÉúÎïѧ+ÓÐÏîÄ¿¾­Ñé +3 ccdsscjy 2026-03-10 3/150 2026-03-14 00:12 by JourneyLucky
[¿¼ÑÐ] ²ÄÁÏÓ뻯¹¤£¨0856£©304ÇóBÇøµ÷¼Á +6 Çñgl 2026-03-12 7/350 2026-03-13 23:24 by Çñgl
[¿¼ÑÐ] Çó²ÄÁϵ÷¼Á 085600Ó¢Ò»Êý¶þ×Ü·Ö302 ǰÈý¿Æ235 ¾«Í¨»úÆ÷ѧϰ Ò»Ö¾Ô¸¹þ¹¤´ó +4 ÁÖyaxin 2026-03-12 4/200 2026-03-13 22:04 by ÐÇ¿ÕÐÇÔÂ
[¿¼ÑÐ] Çó²ÄÁϵ÷¼Á +5 ¸ô±Ú³ÂÏÈÉú 2026-03-12 5/250 2026-03-13 22:03 by ÐÇ¿ÕÐÇÔÂ
[¿¼ÑÐ] 307Çóµ÷¼Á +5 ³¬¼¶ÒÁ°º´óÍõ 2026-03-12 5/250 2026-03-13 15:56 by °ô°ôÇòÊÖ
[¿¼ÑÐ] 420Çóµ÷¼Á +4 ĪÏòÍâÇó11 2026-03-10 6/300 2026-03-12 14:41 by ruiyingmiao
[¿¼ÑÐ] Ñо¿ÉúÕÐÉú +3 Ð캣ÌÎ11 2026-03-10 7/350 2026-03-12 14:26 by Ð캣ÌÎ11
[»ù½ðÉêÇë] Ìá½»ºóµÄ»ù½ð±¾×Ó£¬ÒÑÈÃѧУ³·»ØÁË£¬¿É·ñ»»¿Ú×ÓÌá½» +3 dut_pfx 2026-03-10 3/150 2026-03-11 08:38 by kudofaye
[¿¼ÑÐ] Êý¶þÓ¢¶þ309·ÖÇëÇóµ÷¼Á +3 dtdxzxx 2026-03-09 4/200 2026-03-09 19:56 by yuningshan
ÐÅÏ¢Ìáʾ
ÇëÌî´¦ÀíÒâ¼û