版块导航
正在加载中...
客户端APP下载
论文辅导
调剂小程序
登录
注册
帖子
帖子
用户
本版
应《网络安全法》要求,自2017年10月1日起,未进行实名认证将不得使用互联网跟帖服务。为保障您的帐号能够正常使用,请尽快对帐号进行手机号验证,感谢您的理解与支持!
24小时热门版块排行榜
>
论坛更新日志
(1981)
>
虫友互识
(152)
>
导师招生
(76)
>
休闲灌水
(44)
>
硕博家园
(39)
>
考研
(36)
>
论文投稿
(31)
>
考博
(30)
>
基金申请
(27)
>
文献求助
(21)
>
公派出国
(18)
>
教师之家
(17)
>
找工作
(17)
>
博后之家
(16)
>
无机非金属
(16)
>
海外博后
(7)
小木虫论坛-学术科研互动平台
»
化学化工区
»
电化学
»
电分析测试
»
两电极的循环伏安法
1
1/1
返回列表
查看: 1441 | 回复: 0
只看楼主
@他人
存档
新回复提醒
(忽略)
收藏
在APP中查看
wohenhao55
木虫
(正式写手)
将军,啊哈哈
应助: 2
(幼儿园)
贵宾: 0.001
金币: 2472
散金: 826
红花: 19
帖子: 521
在线: 277小时
虫号: 1187520
注册: 2011-01-11
性别: GG
专业: 机构学与机器人
[
求助
]
两电极的循环伏安法
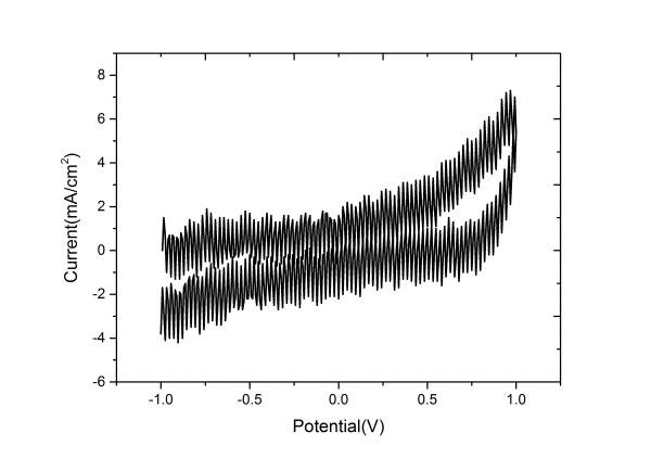
最近使用普林斯顿263A做CV曲线,采用两电极的方式做,下面是软件设置:
固体电极,电极面积2cm,不指定参考电极
电压范围:-1V—1V
Scanning rate:50mV/s
请问做出来的CV曲线为什么毛刺很多,并且很大?求大牛相助!
Graph2.jpg
回复此楼
» 猜你喜欢
德国Karlsruhe Institute of Technology招收电化学储能及联合培养CSC博士等
已经有20人回复
德国Karlsruhe Institute of Technology招收电化学储能及联合培养CSC博士
已经有24人回复
分析化学论文润色/翻译怎么收费?
已经有179人回复
德国Karlsruhe Institute of Technology招收电化学储能及联合培养CSC博士
已经有1人回复
固态锂金属电池迁移数计算求助
已经有1人回复
荷兰奈梅亨大学赵文博与Galimberti课题组招收理论计算CSC博士 2000 欧元/月+房补
已经有0人回复
26储能博士申请自荐
已经有23人回复
上海交通大学--宁波东方理工大学电池方向博士招生
已经有10人回复
海南大学全国重点实验室杨金霖老师招收储能电池方向博士生(2026年3月报名,9月入学)
已经有1人回复
海南师范大学2026年博士研究生招收 (在职想提升学历人员可报考) 申请考核制+普通招考
已经有1人回复
申博求助
已经有0人回复
走自己的路
1楼
2013-05-29 14:21:42
已阅
回复此楼
关注TA
给TA发消息
送TA红花
TA的回帖
智能机器人
Robot
(super robot)
我们都爱小木虫
找到一些相关的精华帖子,希望有用哦~
在硫酸中循环伏安法,电极上面有气泡怎么个情况
已经有8人回复
求各们大牛!在两电极体系下能否通过循环伏安法计算电量?
已经有11人回复
循环伏安法判断电极过程
已经有5人回复
请大家帮帮忙好好看一下,金电极的循环伏安法
已经有3人回复
循环伏安法计算超级电容器电容
已经有8人回复
做电极修饰的循环伏安法表征,遇到问题了
已经有12人回复
循环伏安法的三电极体系与两电极体系的区别
已经有4人回复
关于循环伏安法测电极比容,谁能解释的。。。来啊!!!
已经有5人回复
循环伏安法测超级电容器时三个电极是怎样接的,要注意什么问题
已经有3人回复
电容器电容计算方法讨论
已经有56人回复
【求助】循环伏安法测定电解液氧化还原电位必须三个电极么?
已经有10人回复
【求助】金属电极循环伏安法图谱及交流阻抗图谱分析
已经有10人回复
【求助】请教:镁镍合金圆片做负极,想在其上用循环伏安法上聚吡咯膜,怎样固定电极?
已经有7人回复
点击这里搜索更多相关资源
科研从小木虫开始,人人为我,我为人人
相关版块跳转
有机交流
有机资源
高分子
无机/物化
分析
催化
工艺技术
化工设备
石油化工
精细化工
电化学
环境
SciFinder/Reaxys
我要订阅楼主
wohenhao55
的主题更新
1
1/1
返回列表
如果回帖内容含有宣传信息,请如实选中。否则帐号将被全论坛禁言
普通表情
龙
兔
虎
猫
百度网盘
|
360云盘
|
千易网盘
|
华为网盘
在新窗口页面中打开自己喜欢的网盘网站,将文件上传后,然后将下载链接复制到帖子内容中就可以了。
信息提示
关闭
请填处理意见
关闭
确定