| ²é¿´: 900 | »Ø¸´: 3 | ||
tysjxsy5860Ìú³æ (ÕýʽдÊÖ)
|
[ÇóÖú]
Çó½âÒ»µÀ¶þÔªÒ»´Î·½³Ì×éµÄÌ⣬ÓÐµãÆæ¹Ö£¬Çó¸ßÈË
|
|
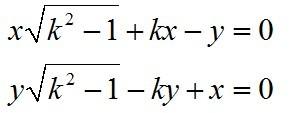
ÒÑÖªx£¬yÊÇδ֪Êý£¬kÊÇÒÑÖªµÄ³£Êý£¬Çó½â¶þÔªÒ»´Î·½³Ì×é ˵Ã÷£º£¨1£©Çó½âxºÍy¹ØÓÚkµÄ±í´ïʽ£» £¨2£©ÒªÇóÇó·ÇÁã½â£» ÈôÓÃÏûÔª·¨£¬Ò»Ö±µÃµ½ºãµÈʽ£¬²»ÖªµÀʲôÔÒò£¬ÄÜ·ñ˵Ã÷Ï£¿ ×îºÃÓÃWordдÃ÷¼ÆËã¹ý³Ì£¬ÉÏ´«»ò·¢ËÍÓÊÏ䣨tysjxsy@126.com)¾ù¿É£¬Ð»Ð»£¡ ![]() ![]() |
» ²ÂÄãϲ»¶
081700£¬311£¬Çóµ÷¼Á
ÒѾÓÐ15È˻ظ´
Ò»Ö¾Ô¸±±¾©»¯¹¤085600 310·ÖÇóµ÷¼Á
ÒѾÓÐ18È˻ظ´
085600²ÄÁÏÓ뻯¹¤301·ÖÇóµ÷¼ÁԺУ
ÒѾÓÐ4È˻ظ´
²ÄÁÏÓ뻯¹¤371Çóµ÷¼Á
ÒѾÓÐ14È˻ظ´
336²ÄÁÏÓ뻯¹¤085600Çóµ÷¼Á
ÒѾÓÐ7È˻ظ´
²ÄÁÏ334Çóµ÷¼Á
ÒѾÓÐ18È˻ظ´
331Çóµ÷¼Á
ÒѾÓÐ8È˻ظ´
332Çóµ÷¼Á
ÒѾÓÐ17È˻ظ´
Ò»Ö¾Ô¸ÄϾ©º½¿Õº½Ìì´óѧ ²ÄÁÏÓ뻯¹¤329·ÖÇóµ÷¼Á
ÒѾÓÐ4È˻ظ´
²ÄÁÏר˶322
ÒѾÓÐ7È˻ظ´
billiards
ÖÁ×ðľ³æ (ÖøÃûдÊÖ)
- Ó¦Öú: 367 (˶ʿ)
- ½ð±Ò: 15522.2
- ºì»¨: 21
- Ìû×Ó: 1486
- ÔÚÏß: 1225.7Сʱ
- ³æºÅ: 106459
- ×¢²á: 2005-11-17
- רҵ: »úе½á¹¹Ç¿¶Èѧ
¡¾´ð°¸¡¿Ó¦Öú»ØÌû
¡ï ¡ï ¡ï ¡ï ¡ï
¸Ðл²ÎÓ룬ӦÖúÖ¸Êý +1
tysjxsy5860: ½ð±Ò+5, ¡ï¡ï¡ï¡ï¡ï×î¼Ñ´ð°¸, Thank you! 2013-05-24 07:33:36
¸Ðл²ÎÓ룬ӦÖúÖ¸Êý +1
tysjxsy5860: ½ð±Ò+5, ¡ï¡ï¡ï¡ï¡ï×î¼Ñ´ð°¸, Thank you! 2013-05-24 07:33:36
|
ÕûÀíÒ»ÏÂÕâÁ½¸öʽ×Ó: [Root(k^2-1) + k] x - y =0 x + [Root(k^2-1) - k] y =0 ÏÂÃæµÄÐÐÁÐʽΪ£°£¬ ËùÒԽⲻ³öÕâ¸ö·½³Ì¡£ | Root(k^2-1) + k -1 | | 1 Root(k^2-1) - k | = 0 |
2Â¥2013-05-24 02:56:08
weft
ľ³æ (ÕýʽдÊÖ)
- Ó¦Öú: 125 (¸ßÖÐÉú)
- ½ð±Ò: 2557.3
- ºì»¨: 13
- Ìû×Ó: 301
- ÔÚÏß: 147.4Сʱ
- ³æºÅ: 2161851
- ×¢²á: 2012-12-02
- רҵ: ÎÄ»¯Ñ§
¡¾´ð°¸¡¿Ó¦Öú»ØÌû
¡ï ¡ï ¡ï ¡ï ¡ï
¸Ðл²ÎÓ룬ӦÖúÖ¸Êý +1
tysjxsy5860: ½ð±Ò+5, ¡ï¡ï¡ï¡ï¡ï×î¼Ñ´ð°¸, Thank you! 2013-05-24 07:33:50
¸Ðл²ÎÓ룬ӦÖúÖ¸Êý +1
tysjxsy5860: ½ð±Ò+5, ¡ï¡ï¡ï¡ï¡ï×î¼Ñ´ð°¸, Thank you! 2013-05-24 07:33:50
|
Õâ¸ö·½³Ì×éÊDz»¶¨µÄ, ÒòΪÕâÁ½¸ö·½³Ìʵ¼ÊÉÏÊÇÒ»¸ö·½³Ì, Äã°ÑµÚÒ»¸ö·½³ÌÁ½±ßͬʱ³ËÒÔ |
3Â¥2013-05-24 04:51:45
gzl9901
Ìú¸Ëľ³æ (ÎÄ̳¾«Ó¢)
very good
- Ó¦Öú: 3 (Ó×¶ùÔ°)
- ½ð±Ò: 6279.5
- ºì»¨: 28
- ɳ·¢: 2
- Ìû×Ó: 11263
- ÔÚÏß: 1769.2Сʱ
- ³æºÅ: 1294464
- ×¢²á: 2011-05-13
- רҵ: ¼ÆËã»úÈí¼þ

4Â¥2013-05-24 07:44:45















»Ø¸´´ËÂ¥
