版块导航
正在加载中...
客户端APP下载
论文辅导
调剂小程序
登录
注册
帖子
帖子
用户
本版
应《网络安全法》要求,自2017年10月1日起,未进行实名认证将不得使用互联网跟帖服务。为保障您的帐号能够正常使用,请尽快对帐号进行手机号验证,感谢您的理解与支持!
24小时热门版块排行榜
>
论坛更新日志
(3751)
>
文献求助
(369)
>
虫友互识
(363)
>
导师招生
(223)
>
休闲灌水
(150)
>
硕博家园
(124)
>
基金申请
(114)
>
考博
(102)
>
博后之家
(51)
>
招聘信息布告栏
(46)
>
考研
(46)
>
论文道贺祈福
(45)
>
论文投稿
(42)
>
海外博后
(26)
>
教师之家
(26)
>
绿色求助(高悬赏)
(21)
小木虫论坛-学术科研互动平台
»
化学化工区
»
电化学
»
电分析测试
»
Tafel曲线分析
2
1/1
返回列表
查看: 1042 | 回复: 1
只看楼主
@他人
存档
新回复提醒
(忽略)
收藏
在APP中查看
1961185015
金虫
(小有名气)
应助: 4
(幼儿园)
金币: 574.5
散金: 19
红花: 2
帖子: 108
在线: 29.2小时
虫号: 1526193
注册: 2011-12-06
性别:
MM
专业: 电化学
[
求助
]
Tafel曲线分析
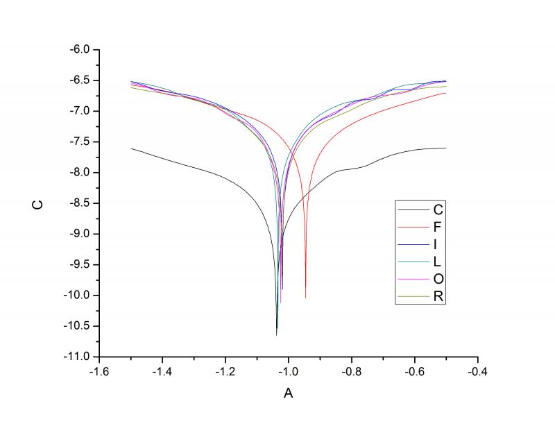
求各位虫友帮忙分析一下,下面的图中哪一个耐蚀性能更好一些啊。我做的是镀锌三价铬钝化。
Graph1.jpg
回复此楼
» 收录本帖的淘帖专辑推荐
各种热门杂
» 猜你喜欢
海南师范大学2026年博士研究生招收 (在职想提升学历人员可报考) 申请考核制
已经有0人回复
锂离子电池循环寿命衰减过快,求机理分析与改进思路
已经有2人回复
物理化学论文润色/翻译怎么收费?
已经有115人回复
求博导收留
已经有6人回复
CSC & MSCA 博洛尼亚大学能源材料课题组博士/博士后招生|MSCA经费充足、排名优
已经有6人回复
德国Karlsruhe Institute of Technology招收电化学储能及联合培养CSC博士等
已经有20人回复
德国Karlsruhe Institute of Technology招收电化学储能及联合培养CSC博士
已经有22人回复
德国Karlsruhe Institute of Technology招收电化学储能及联合培养CSC博士
已经有1人回复
固态锂金属电池迁移数计算求助
已经有1人回复
荷兰奈梅亨大学赵文博与Galimberti课题组招收理论计算CSC博士 2000 欧元/月+房补
已经有0人回复
26储能博士申请自荐
已经有17人回复
» 本主题相关价值贴推荐,对您同样有帮助:
tafel曲线中出现两个钝化峰
已经有5人回复
tafel曲线分析
已经有14人回复
为什么用电化学工作站测同样条件同一样品的tafel曲线基本不重合
已经有25人回复
Tafel曲线,怎么求得腐蚀电位和腐蚀电流
已经有10人回复
求高手帮忙分析一下铝合金的动电位极化曲线
已经有17人回复
帮忙分析下极化曲线
已经有10人回复
Pt 的Tafel 曲线分析求助
已经有17人回复
麻烦塔菲尔曲线高手帮我看看这几个图,说明什么问题,或者能从中得出什么信息?
已经有12人回复
文章中的tafel曲线是不是拟合过的
已经有9人回复
关于Tafel曲线拟合平衡电位的问题~
已经有6人回复
求助Tafel极化曲线分析
已经有5人回复
请问如何由Tafel极化曲线求自腐蚀电流密度?
已经有20人回复
帮忙分析一下这个tafel曲线,急~~~谢谢!
已经有10人回复
【求助】上海辰华产的CHI软件分析出来的tafel曲线斜率的单位是什么?
已经有13人回复
【交流】麻烦高人帮忙分析一下极化曲线和Tafel曲线
已经有7人回复
【讨论】在燃料电池氧还原研究中,Tafel曲线斜率有什么意义
已经有15人回复
新虫请教电化学工作站的高手,Tafel曲线和E-i怎么测
已经有13人回复
快点毕业吧
1楼
2013-05-21 08:23:22
已阅
回复此楼
关注TA
给TA发消息
送TA红花
TA的回帖
yinxuchenyi
木虫
(正式写手)
简约而不简单的人
应助: 8
(幼儿园)
金币: 4660.6
散金: 34
红花: 6
帖子: 421
在线: 358.7小时
虫号: 961837
注册: 2010-03-05
性别: GG
专业: 有机化工
【答案】应助回帖
感谢参与,应助指数 +1
腐蚀貌似有点复杂的
赞
一下
回复此楼
淡定了就不会蛋X了
2楼
2013-05-21 08:45:23
已阅
回复此楼
关注TA
给TA发消息
送TA红花
TA的回帖
相关版块跳转
有机交流
有机资源
高分子
无机/物化
分析
催化
工艺技术
化工设备
石油化工
精细化工
电化学
环境
SciFinder/Reaxys
我要订阅楼主
1961185015
的主题更新
2
1/1
返回列表
如果回帖内容含有宣传信息,请如实选中。否则帐号将被全论坛禁言
普通表情
龙
兔
虎
猫
百度网盘
|
360云盘
|
千易网盘
|
华为网盘
在新窗口页面中打开自己喜欢的网盘网站,将文件上传后,然后将下载链接复制到帖子内容中就可以了。
信息提示
关闭
请填处理意见
关闭
确定