| ²é¿´: 907 | »Ø¸´: 5 | ||
gentleman891ľ³æ (ÕýʽдÊÖ)
|
[ÇóÖú]
Çë½ÌÒ»¸öͼµÄ»·¨
|
|
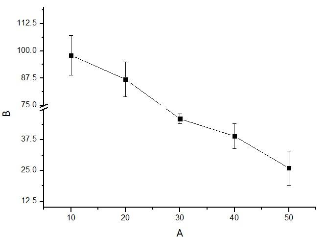
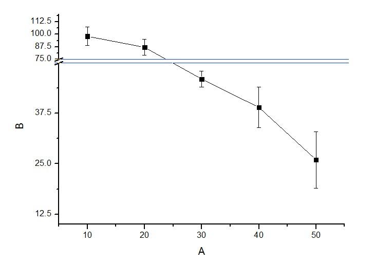
µ±¼¸¸öÊý¾ÝµÄ¿ç¶È±È½Ï´ó£¬»ÔÚÒ»Æð¿ÉÄÜÆäËû¼¸¸öÊýÖµ±È½ÏСµÄÊý¾ÝµÄÇø±ð¾Í²»Ã÷ÏÔÁË£¬ÈçºÎ°Ñ×ø±êÖáµÄscale½Ø¶ÏÄØ£¬±ÈÈçÏÂͼÖÐ×Ý×ø±êµÄ240µ½300Ö®¼ä¡£ ÎÒÊÇÓÃorigin8,Çë½Ì´óÏÀ¡£²»Ê¤¸Ð¼¤ δÃüÃû.jpg |
» ²ÂÄãϲ»¶
»¯Ñ§µ÷¼ÁÇóÖú
ÒѾÓÐ14È˻ظ´
²ÄÁÏÀà284µ÷¼Á
ÒѾÓÐ12È˻ظ´
²ÄÁÏ¿¼ÑÐÇóµ÷¼Á×Ü·Ö280
ÒѾÓÐ31È˻ظ´
325·Ö»¯Ñ§µ÷¼Á
ÒѾÓÐ9È˻ظ´
Óб¬ÁÏ£¬Ò»¸öÇàÄê½ÌʦÂô·¿µÃ400Íò£¬È»ºó»»ÁËÒ»¸öËÄÇàñ×Ó
ÒѾÓÐ4È˻ظ´
Ò»Ö¾Ô¸211£¬0703»¯Ñ§305·ÖÇóµ÷¼Á
ÒѾÓÐ21È˻ظ´
0703»¯Ñ§µ÷¼Á 348·Ö
ÒѾÓÐ15È˻ظ´
0703»¯Ñ§Çóµ÷¼Á
ÒѾÓÐ6È˻ظ´
368»¯Ñ§Çóµ÷¼Á
ÒѾÓÐ7È˻ظ´
±¾¿Æ211£¬293·ÖÇëÇóµ÷¼Á
ÒѾÓÐ12È˻ظ´
» ±¾Ö÷ÌâÏà¹Ø¼ÛÖµÌùÍÆ¼ö£¬¶ÔÄúͬÑùÓаïÖú:
ÇóÖúÒ»¸öͼµÄ»·¨
ÒѾÓÐ7È˻ظ´
ÕâÖÖÍø×´½á¹¹µÄͼÓÃʲôÈí¼þ»µÄ?
ÒѾÓÐ12È˻ظ´
ÇóÖúͼÖнṹͼµÄ»·¨
ÒѾÓÐ6È˻ظ´
ÕâÖÖÁ£¾¶·Ö²¼Í¼ÊÇÔõô»³öÀ´µÄ
ÒѾÓÐ32È˻ظ´
ÇëÎÊÓÃmatlabÔõÑù»ÏÂÃæÕâ·ùͼ?
ÒѾÓÐ10È˻ظ´
ÄãµÄÂÛÎÄ3DʾÒâͼÓÃʲôÈí¼þ»£¿
ÒѾÓÐ54È˻ظ´
Çë½Ì¶®¼ÆËãÄ£ÄâµÄ´óÅ££¬Ð»Ð»
ÒѾÓÐ10È˻ظ´
Ôõô°ÑXRDͼÆ×ºÍPDF¿¨Æ¬·Åµ½Ò»ÕÅͼƬÀïÃæ°¡£¿
ÒѾÓÐ13È˻ظ´
Çë½Ìchemdraw ¶þ¼ÛÀë×ÓÔõô»
ÒѾÓÐ4È˻ظ´
ÈçºÎÓÃorigin°ÑXRDµÄ±ê׼ͼºÍÑùƷͼ×öÔÚÒ»Æð£¿
ÒѾÓÐ17È˻ظ´
»Ê¾ÒâͼÓÃʲôÈí¼þ
ÒѾÓÐ41È˻ظ´
Çó¸ßÊÖ°ïæ»¸öZnGa2O4µÄ¾§Ðͽṹͼ£¨¼â¾§Ê¯½á¹¹µÄ£©
ÒѾÓÐ21È˻ظ´
PPͼºÍQQͼµÄ»·¨£¿
ÒѾÓÐ4È˻ظ´
¹ØÓÚÄÜ´øÈýÖÖ»·¨µÄ¼òµ¥ÎÊÌ⣬¼ûЦÁË£¡
ÒѾÓÐ5È˻ظ´
ÓйØÄÉÃײÄÁϵÄÎÄÏ×Öеĸ÷ÖÖʾÒâͼµÄ»·¨£¬ÄãÖªµÀÂð
ÒѾÓÐ38È˻ظ´
Ò»ÖÖ¼òµ¥ÒÑÓõÄÈȼӹ¤Í¼»·¨
ÒѾÓÐ22È˻ظ´
×Ô¶¯¿ØÖƵÄÔÀíͼ£¬»·¨
ÒѾÓÐ3È˻ظ´
¡¾ÇóÖú¡¿Êý¾ÝÎó²î·ÖÎöͼ
ÒѾÓÐ3È˻ظ´

gentleman891
ľ³æ (ÕýʽдÊÖ)
- Ó¦Öú: 39 (СѧÉú)
- ½ð±Ò: 3451.3
- É¢½ð: 536
- ºì»¨: 2
- Ìû×Ó: 505
- ÔÚÏß: 247Сʱ
- ³æºÅ: 538117
- ×¢²á: 2008-04-02
- ÐÔ±ð: GG
- רҵ: ÉúÎﻯ¹¤ÓëʳƷ»¯¹¤

2Â¥2013-05-06 05:24:48
yuxinnick
ľ³æ (ÖøÃûдÊÖ)
- Ó¦Öú: 722 (²©ºó)
- ½ð±Ò: 3387.1
- É¢½ð: 1171
- ºì»¨: 7
- Ìû×Ó: 1111
- ÔÚÏß: 666.6Сʱ
- ³æºÅ: 1333642
- ×¢²á: 2011-06-29
- רҵ: µçÄÜ´¢´æÓë½Úµç¼¼Êõ

3Â¥2013-05-06 08:04:19
ECUSTСÐÜ
ľ³æ (ÕýʽдÊÖ)
- Ó¦Öú: 15 (СѧÉú)
- ½ð±Ò: 3534.6
- É¢½ð: 799
- ºì»¨: 3
- Ìû×Ó: 811
- ÔÚÏß: 634.1Сʱ
- ³æºÅ: 514916
- ×¢²á: 2008-02-29
- ÐÔ±ð: GG
- רҵ: ´úлÐÔ¼²²¡Ò©ÎïÒ©Àí
4Â¥2013-05-06 08:34:22
ЦһЦûʲô
Òø³æ (³õÈëÎÄ̳)
- Ó¦Öú: 0 (Ó×¶ùÔ°)
- ½ð±Ò: 348.3
- ºì»¨: 1
- Ìû×Ó: 34
- ÔÚÏß: 16Сʱ
- ³æºÅ: 2666296
- ×¢²á: 2013-09-19
- רҵ: »¯Ñ§¶¯Á¦Ñ§
5Â¥2015-06-15 22:41:51
gentleman891
ľ³æ (ÕýʽдÊÖ)
- Ó¦Öú: 39 (СѧÉú)
- ½ð±Ò: 3451.3
- É¢½ð: 536
- ºì»¨: 2
- Ìû×Ó: 505
- ÔÚÏß: 247Сʱ
- ³æºÅ: 538117
- ×¢²á: 2008-04-02
- ÐÔ±ð: GG
- רҵ: ÉúÎﻯ¹¤ÓëʳƷ»¯¹¤

6Â¥2015-06-16 08:58:22














»Ø¸´´ËÂ¥