| ²é¿´: 927 | »Ø¸´: 7 | ||
smallnovices½ð³æ (СÓÐÃûÆø)
|
[ÇóÖú]
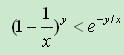
Çë¸ø³öÕâ¸ö²»µÈʽµÄÍÆµ¼¹ý³Ì
|
|
|
ÊÇÔõôµÃµ½µÄ£¿ÎÒÔõô²ÅÄÜÔÚgoogleÀïÖ±½ÓÊäÈëÕâÑùµÄÊýѧ¹«Ê½½øÐвéÕÒ£¬Ð»Ð»£¡ ne.jpg [ Last edited by smallnovices on 2013-4-29 at 20:16 ] |
» ²ÂÄãϲ»¶
085410 273Çóµ÷¼Á
ÒѾÓÐ9È˻ظ´
297Çóµ÷¼Á
ÒѾÓÐ16È˻ظ´
291Çóµ÷¼Á
ÒѾÓÐ11È˻ظ´
¼ÆËã»ú22408 281·Ö£¬Çóµ÷¼Á
ÒѾÓÐ7È˻ظ´
316Çóµ÷¼Á
ÒѾÓÐ5È˻ظ´
Ò»Ö¾Ô¸Ö£ÖÝ´óѧ 22408 305·ÖÇóµ÷¼Á
ÒѾÓÐ5È˻ظ´
299Çóµ÷¼Á
ÒѾÓÐ8È˻ظ´
312Çóµ÷¼Á
ÒѾÓÐ6È˻ظ´
280Çóµ÷¼Á
ÒѾÓÐ10È˻ظ´
280Çóµ÷¼Á
ÒѾÓÐ13È˻ظ´
» ±¾Ö÷ÌâÏà¹Ø¼ÛÖµÌùÍÆ¼ö£¬¶ÔÄúͬÑùÓаïÖú:
ÕâÁ½¸öìØµÄ¹«Ê½ÊÇÔõôµÃÀ´µÄ£¿
ÒѾÓÐ6È˻ظ´
jevonszou
ľ³æ (Ö°Òµ×÷¼Ò)
- Ó¦Öú: 80 (³õÖÐÉú)
- ½ð±Ò: 4385.4
- ºì»¨: 8
- ɳ·¢: 4
- Ìû×Ó: 3697
- ÔÚÏß: 841.5Сʱ
- ³æºÅ: 1469576
- ×¢²á: 2011-10-31
- ÐÔ±ð: GG
- רҵ: ½ðÊô½á¹¹²ÄÁÏ
¡¾´ð°¸¡¿Ó¦Öú»ØÌû
¡ï ¡ï ¡ï ¡ï ¡ï ¡ï ¡ï ¡ï ¡ï ¡ï
smallnovices: ½ð±Ò+10, ¡ï¡ï¡ï¡ï¡ï×î¼Ñ´ð°¸, ·Ç³£¸Ðл 2013-04-29 22:06:44
smallnovices: »ØÌûÖö¥ 2013-04-29 22:06:47
smallnovices: ½ð±Ò+10, ¡ï¡ï¡ï¡ï¡ï×î¼Ñ´ð°¸, ·Ç³£¸Ðл 2013-04-29 22:06:44
smallnovices: »ØÌûÖö¥ 2013-04-29 22:06:47
|
ln(1-1/x)=(-1/x)-1/2 (-1/x)^2+1/3 (-1/x)^3¡..+Ru(x)<-1/x yln(1-1/x)<-y/x ln¡¼(1-1/x)¡½^y<-y/x (1-1/x)^y Ö»Òª½«Ç°ÃæÌ©ÀÕÕ¹¿ª¾ÍºÃÁË |
4Â¥2013-04-29 21:56:13
jevonszou
ľ³æ (Ö°Òµ×÷¼Ò)
- Ó¦Öú: 80 (³õÖÐÉú)
- ½ð±Ò: 4385.4
- ºì»¨: 8
- ɳ·¢: 4
- Ìû×Ó: 3697
- ÔÚÏß: 841.5Сʱ
- ³æºÅ: 1469576
- ×¢²á: 2011-10-31
- ÐÔ±ð: GG
- רҵ: ½ðÊô½á¹¹²ÄÁÏ
2Â¥2013-04-29 20:22:25
smallnovices
½ð³æ (СÓÐÃûÆø)
- Ó¦Öú: 0 (Ó×¶ùÔ°)
- ½ð±Ò: 1192
- Ìû×Ó: 109
- ÔÚÏß: 22.2Сʱ
- ³æºÅ: 2303891
- ×¢²á: 2013-02-27
- רҵ: ¼ÆËã»úÍøÂç
3Â¥2013-04-29 20:25:16
smallnovices
½ð³æ (СÓÐÃûÆø)
- Ó¦Öú: 0 (Ó×¶ùÔ°)
- ½ð±Ò: 1192
- Ìû×Ó: 109
- ÔÚÏß: 22.2Сʱ
- ³æºÅ: 2303891
- ×¢²á: 2013-02-27
- רҵ: ¼ÆËã»úÍøÂç
5Â¥2013-04-29 22:05:45
smallnovices
½ð³æ (СÓÐÃûÆø)
- Ó¦Öú: 0 (Ó×¶ùÔ°)
- ½ð±Ò: 1192
- Ìû×Ó: 109
- ÔÚÏß: 22.2Сʱ
- ³æºÅ: 2303891
- ×¢²á: 2013-02-27
- רҵ: ¼ÆËã»úÍøÂç
6Â¥2013-04-29 22:07:27
jevonszou
ľ³æ (Ö°Òµ×÷¼Ò)
- Ó¦Öú: 80 (³õÖÐÉú)
- ½ð±Ò: 4385.4
- ºì»¨: 8
- ɳ·¢: 4
- Ìû×Ó: 3697
- ÔÚÏß: 841.5Сʱ
- ³æºÅ: 1469576
- ×¢²á: 2011-10-31
- ÐÔ±ð: GG
- רҵ: ½ðÊô½á¹¹²ÄÁÏ
7Â¥2013-04-29 23:12:28
smallnovices
½ð³æ (СÓÐÃûÆø)
- Ó¦Öú: 0 (Ó×¶ùÔ°)
- ½ð±Ò: 1192
- Ìû×Ó: 109
- ÔÚÏß: 22.2Сʱ
- ³æºÅ: 2303891
- ×¢²á: 2013-02-27
- רҵ: ¼ÆËã»úÍøÂç
8Â¥2013-04-30 14:34:02













»Ø¸´´ËÂ¥