| 查看: 1404 | 回复: 7 | |||
tzh708金虫 (小有名气)
|
[求助]
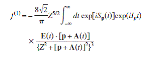
请fortran高手帮个忙
|
||
![]() |
|||
|
|
|||
nono2009超级版主 (文学泰斗)
No gains, no pains.
|
|||
|
2楼2013-04-27 20:02:29
|
|
||
tzh708金虫 (小有名气)
|
|||
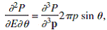
![]() |
|||
|
3楼2013-04-27 20:05:22
|
|
||
nono2009超级版主 (文学泰斗)
No gains, no pains.
|
|||
|
4楼2013-04-27 20:06:05
|
|
||
|
5楼2013-04-28 14:17:42
|
|
||
limmettle金虫 (正式写手)
|
|||
|
6楼2013-04-28 17:31:53
|
|
||
|
7楼2013-04-30 14:52:34
|
|
||
gaolugang木虫 (小有名气)
|
|||
|
8楼2013-05-02 09:37:48
|
|













回复此楼
