版块导航
正在加载中...
客户端APP下载
论文辅导
申博辅导
登录
注册
帖子
帖子
用户
本版
应《网络安全法》要求,自2017年10月1日起,未进行实名认证将不得使用互联网跟帖服务。为保障您的帐号能够正常使用,请尽快对帐号进行手机号验证,感谢您的理解与支持!
24小时热门版块排行榜
>
论坛更新日志
(4134)
>
文献求助
(440)
>
虫友互识
(359)
>
导师招生
(345)
>
考博
(187)
>
博后之家
(170)
>
硕博家园
(160)
>
休闲灌水
(147)
>
论文投稿
(127)
>
基金申请
(91)
>
考研
(60)
>
招聘信息布告栏
(59)
>
教师之家
(54)
>
公派出国
(43)
>
绿色求助(高悬赏)
(40)
>
找工作
(38)
小木虫论坛-学术科研互动平台
»
专业学科区
»
土木建筑
»
结构工程
»
跪求高手给出这一题的matlab的程序
6
1/1
返回列表
查看: 803 | 回复: 5
只看楼主
@他人
存档
新回复提醒
(忽略)
收藏
在APP中查看
ybing2012
新虫
(小有名气)
应助: 0
(幼儿园)
金币: 3.5
帖子: 67
在线: 11.2小时
虫号: 2431451
注册: 2013-04-22
专业: 结构工程
[
求助
]
跪求高手给出这一题的matlab的程序
跪求高手给出这道题的matlab程序,该题的运算结果已得出,给出得出这结果的matlab程序就行
未命名.jpg
回复此楼
» 猜你喜欢
到新单位后,换了新的研究方向,没有团队,持续积累2区以上论文,能申请到面上吗
已经有7人回复
申请2026年博士
已经有5人回复
天津工业大学郑柳春团队欢迎化学化工、高分子化学或有机合成方向的博士生和硕士生加入
已经有5人回复
寻求一种能扛住强氧化性腐蚀性的容器密封件
已经有6人回复
2025冷门绝学什么时候出结果
已经有7人回复
请问有评职称,把科研教学业绩算分排序的高校吗
已经有6人回复
Bioresource Technology期刊,第一次返修的时候被退回好几次了
已经有7人回复
请问哪里可以有青B申请的本子可以借鉴一下。
已经有4人回复
请问下大家为什么这个铃木偶联几乎不反应呢
已经有5人回复
康复大学泰山学者周祺惠团队招收博士研究生
已经有6人回复
» 本主题相关价值贴推荐,对您同样有帮助:
求高手用MATLAB编写一个画张量积曲面的程序
已经有10人回复
寻求matlab程序高手
已经有3人回复
求高手解答Matlab求解微分方程的初始值和边界值问题
已经有5人回复
请matlab高手看一下这个问题怎样编程才好,附程序代码,谢谢!
已经有9人回复
求Matlab高手解决线性方程组的迭代求解问题
已经有17人回复
关于Matlab画三维曲面图的问题,求助高手,感激感激
已经有3人回复
matlab数据拟合求助!!希望高手帮忙写一下matlab的程序 谢谢了!!
已经有15人回复
求Matlab 高手改进程序 可付费
已经有11人回复
求助高手将以下C语言翻译为Matlab语言,急急急!
已经有12人回复
高手进来用matlab求解常微分方程,十分感谢!
已经有17人回复
matlab 气泡边缘提取 求助高手!!
已经有5人回复
求高人指点用matlab求解非线性方程组,解决了追加100金币;
已经有11人回复
matlab数据处理求面积,急!请高手们赐教!
已经有1人回复
【求助】请各位高手告诉我:这种想法能不能用matlab实现?200金币求助
已经有16人回复
【求助】用matlab编程,需要将数据自检分类(高手进来指点下)
已经有5人回复
【求助】那位高手帮看下MATLAB程序出错了
已经有4人回复
1楼
2013-04-26 00:00:09
已阅
回复此楼
关注TA
给TA发消息
送TA红花
TA的回帖
xujince
木虫
(正式写手)
应助: 17
(小学生)
金币: 2516.7
红花: 1
帖子: 548
在线: 376.9小时
虫号: 1926989
注册: 2012-08-06
性别: GG
专业: 固体力学
你得把单元公式给出来啊!
赞
一下
回复此楼
2楼
2013-04-26 11:23:13
已阅
回复此楼
关注TA
给TA发消息
送TA红花
TA的回帖
ybing2012
新虫
(小有名气)
应助: 0
(幼儿园)
金币: 3.5
帖子: 67
在线: 11.2小时
虫号: 2431451
注册: 2013-04-22
专业: 结构工程
引用回帖:
2楼
:
Originally posted by
xujince
at 2013-04-26 11:23:13
你得把单元公式给出来啊!
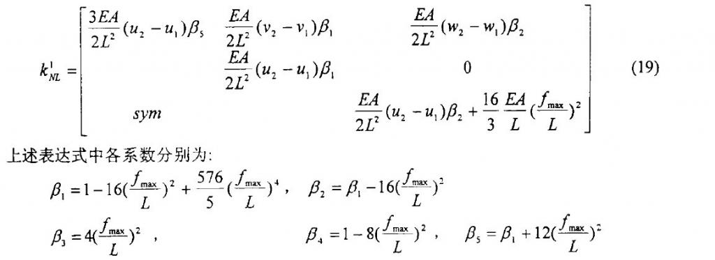
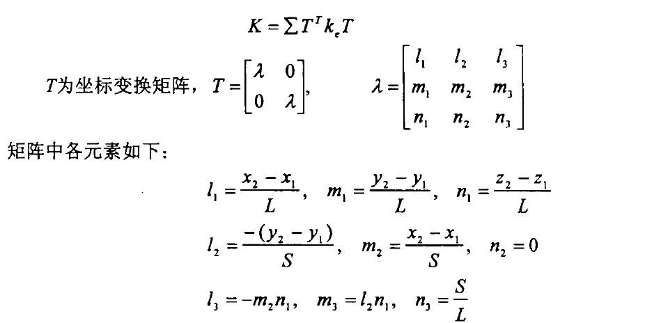
给出形函数,刚度矩阵
未命名3.jpg
未命名4.jpg
未命名5.jpg
未命名6.jpg
未命名7.jpg
赞
一下
回复此楼
3楼
2013-04-26 12:08:40
已阅
回复此楼
关注TA
给TA发消息
送TA红花
TA的回帖
zswseu
金虫
(著名写手)
应助: 1
(幼儿园)
金币: 13848.9
帖子: 2028
在线: 23.1小时
虫号: 1815542
注册: 2012-05-14
专业: 交通工程
【答案】应助回帖
感谢参与,应助指数 +1
ivrine计算这个有理论公式的,我看到的相当繁琐。
分两个单元貌似不精确吧。
分成十段等,离散质量进行计算不行么。
赞
一下
回复此楼
4楼
2013-04-27 01:54:52
已阅
回复此楼
关注TA
给TA发消息
送TA红花
TA的回帖
shabaolin
铜虫
(著名写手)
应助: 4
(幼儿园)
金币: 8603.4
红花: 6
帖子: 1207
在线: 145.2小时
虫号: 868907
注册: 2009-10-12
专业: 高分子物理与高分子物理化
用ABAQUS软件计算
赞
一下
回复此楼
5楼
2013-04-27 06:31:52
已阅
回复此楼
关注TA
给TA发消息
送TA红花
TA的回帖
ybing2012
新虫
(小有名气)
应助: 0
(幼儿园)
金币: 3.5
帖子: 67
在线: 11.2小时
虫号: 2431451
注册: 2013-04-22
专业: 结构工程
引用回帖:
5楼
:
Originally posted by
shabaolin
at 2013-04-27 06:31:52
用ABAQUS软件计算
我现在需要的是matlab程序,结果已经知道。
赞
一下
回复此楼
6楼
2013-04-27 11:59:54
已阅
回复此楼
关注TA
给TA发消息
送TA红花
TA的回帖
相关版块跳转
数理科学综合
机械
物理
数学
农林
食品
地学
能源
信息科学
土木建筑
航空航天
转基因
我要订阅楼主
ybing2012
的主题更新
6
1/1
返回列表
如果回帖内容含有宣传信息,请如实选中。否则帐号将被全论坛禁言
普通表情
龙
兔
虎
猫
百度网盘
|
360云盘
|
千易网盘
|
华为网盘
在新窗口页面中打开自己喜欢的网盘网站,将文件上传后,然后将下载链接复制到帖子内容中就可以了。
信息提示
关闭
请填处理意见
关闭
确定