| 查看: 341 | 回复: 0 | ||
[求助]
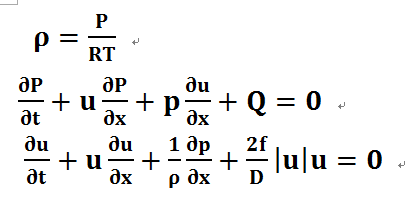
matlab解偏微分方程组问题 谢谢
|
杂项 |
» 猜你喜欢
有院领导为了换新车,用横向课题经费买了俩车
已经有8人回复
博士延得我,科研能力直往上蹿
已经有8人回复
酰胺脱乙酰基
已经有12人回复
同年申请2项不同项目,第1个项目里不写第2个项目的信息,可以吗
已经有4人回复
有时候真觉得大城市人没有县城人甚至个体户幸福
已经有10人回复
天津大学招2026.09的博士生,欢迎大家推荐交流(博导是本人)
已经有5人回复
CSC & MSCA 博洛尼亚大学能源材料课题组博士/博士后招生|MSCA经费充足、排名优
已经有6人回复
面上项目申报
已经有3人回复
遇见不省心的家人很难过
已经有22人回复
找到一些相关的精华帖子,希望有用哦~
matlab数据拟合 希望高手帮忙写一下matlab的程序 跪谢
已经有12人回复
采用matlab求解微分方程遇到问题,请帮忙分析一下错误-重谢
已经有3人回复
高手进来用matlab求解常微分方程,十分感谢!
已经有17人回复
小弟新学matlab,想借用 fmincon求个函数的最小值,求助错误该法,感谢!
已经有4人回复
请各位前辈指点一下,如何用MATLAB求解如下的微分方程,谢谢!
已经有8人回复
【求助】关于有MATLAB求复杂的目标函数的最优解的问题?万分感谢!
已经有6人回复
【求助】matlab怎么求解偏微分方程组啊,先谢谢了
已经有13人回复
【求助】关于MATLAB数列赋值的问题】 万分感谢
已经有10人回复
科研从小木虫开始,人人为我,我为人人













回复此楼

点击这里搜索更多相关资源