| ²é¿´: 1935 | »Ø¸´: 8 | ||
baotianľ³æ (СÓÐÃûÆø)
|
[ÇóÖú]
°ïÎÒ¿´Ò»Ï²£Á§·ÛµÄÁ½¸öDTAÇúÏß
|
|
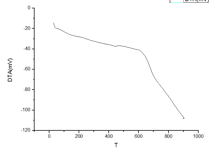
µÚÒ»¸öÊÇûÓÐÈÈ´¦Àí¹ýµÄ²£Á§·ÛµÄDTAÇúÏߣ¬µÚ¶þ¸öÊÇ500¡æ±£ÎÂ6СʱºóµÄͬһÖÖ²£Á§·ÛµÄDTAÇúÏߣ¬µÚ¶þ¸öÇúÏßÓҰ벿·ÖÓÐÁ½¸ö·å£¬´ú±íʲô£¿ D³Á.png D³Á500¡æ6h.png [ À´×Ô¿ÆÑмÒ×å ²ÄÁϼÒ×å ] |
» ²ÂÄãϲ»¶
0854Çóµ÷¼Á
ÒѾÓÐ9È˻ظ´
²ÄÁϹ¤³ÌרҵÈÕÓïÉúÇóµ÷¼Á
ÒѾÓÐ6È˻ظ´
071000ÉúÎïѧ£¬Ò»Ö¾Ô¸ÉîÛÚ´óѧ296·Ö£¬Çóµ÷¼Á
ÒѾÓÐ6È˻ظ´
µ÷¼Á
ÒѾÓÐ5È˻ظ´
±¾¿ÆÖ£ÖÝ´óѧ£¬Ò»Ö¾Ô¸»ª¶«Ê¦·¶´óѧ282Çóµ÷¼Á
ÒѾÓÐ12È˻ظ´
Ò»Ö¾Ô¸211£¬»¯Ñ§Ñ§Ë¶£¬310·Ö£¬±¾¿ÆÖصãË«·Ç£¬Çóµ÷¼Á
ÒѾÓÐ8È˻ظ´
»¯¹¤Ñ§Ë¶ 285Çóµ÷¼Á
ÒѾÓÐ14È˻ظ´
312Çóµ÷¼Á
ÒѾÓÐ17È˻ظ´
ÉúÎïµ÷¼Á
ÒѾÓÐ6È˻ظ´
Ò»Ö¾Ô¸¹þ¹¤´ó£¬³õÊÔ329£¬Çó»·¾³¿ÆÑ§Ó빤³Ìµ÷¼Á£¡
ÒѾÓÐ9È˻ظ´
» ±¾Ö÷ÌâÏà¹ØÉ̼ÒÍÆ¼ö: (ÎÒÒ²ÒªÔÚÕâÀïÍÆ¹ã)
» ±¾Ö÷ÌâÏà¹Ø¼ÛÖµÌùÍÆ¼ö£¬¶ÔÄúͬÑùÓаïÖú:
Çë¸ßÊÖ°ïæ·ÖÎöÒ»ÏÂSiO2-Al2O3µÄTG-DTAÇúÏߣ¬·Ç³£¸Ðл£¡
ÒѾÓÐ7È˻ظ´
ôÇ»ùÁ×»Òʯ µÄDSC/TGAÇúÏß ÇóÖú
ÒѾÓÐ7È˻ظ´

zhangzhikun
Ìú¸Ëľ³æ (ÖøÃûдÊÖ)
- Ó¦Öú: 45 (СѧÉú)
- ½ð±Ò: 13031.6
- É¢½ð: 1022
- ºì»¨: 4
- Ìû×Ó: 2054
- ÔÚÏß: 277.2Сʱ
- ³æºÅ: 1046591
- ×¢²á: 2010-06-24
- רҵ: ÎÛȾ¿ØÖÆ»¯Ñ§

2Â¥2013-04-11 08:58:51
yefeng1987
ľ³æ (ÕýʽдÊÖ)
- Ó¦Öú: 83 (³õÖÐÉú)
- ½ð±Ò: 509.8
- É¢½ð: 2770
- ºì»¨: 9
- Ìû×Ó: 710
- ÔÚÏß: 262.5Сʱ
- ³æºÅ: 878917
- ×¢²á: 2009-10-20
- ÐÔ±ð: GG
- רҵ: ½á¹¹ÌÕ´É

3Â¥2013-04-11 10:36:05
flash6669
ľ³æ (ÖøÃûдÊÖ)
- Ó¦Öú: 7 (Ó×¶ùÔ°)
- ½ð±Ò: 2397.1
- ºì»¨: 4
- Ìû×Ó: 1684
- ÔÚÏß: 140.7Сʱ
- ³æºÅ: 461169
- ×¢²á: 2007-11-18
- ÐÔ±ð: GG
- רҵ: ²£Á§²ÄÁÏ
4Â¥2013-04-11 14:10:12
baotian
ľ³æ (СÓÐÃûÆø)
- Ó¦Öú: 0 (Ó×¶ùÔ°)
- ½ð±Ò: 2389.6
- ºì»¨: 1
- Ìû×Ó: 283
- ÔÚÏß: 51.9Сʱ
- ³æºÅ: 596875
- ×¢²á: 2008-09-09
- ÐÔ±ð: GG
- רҵ: ÎÞ»ú·Ç½ðÊô»ù¸´ºÏ²ÄÁÏ
|
лл»Ø¸´¡£ÎҵIJ£Á§·ÛÌåûÓо¹ýÍË»ð£¬ÊÇÈÛ»¯ºóÖ±½ÓË®´ã£¬È»ºó·ÛË飬¾¹ý»ðÑæÉÕ³É΢Ã×¼¶µÄÇòÌåµÄ¡£ÈÈÀúÊ·²»Ï¸ËµÁË£¬ÎÒ²»ÐèÒªËüÎȶ¨£¬¾ÍÐèÒªËü·ÖÏ࣬±£ÎÂ500¶È¾ÍÊÇΪÁË·ÖÏàµÄ¡£µÚÒ»¸öͼÊÇûÓб£Î¹ýµÄ£¬DTAÇúÏß±È½ÏÆ½»¬£¬µÚ¶þ¸öͼÊÇ500¶È±£ÎÂÁùСʱºóµÃµ½µÄ²£Á§Î¢ÖéµÄDTAÇúÏߣ¬600¶ÈÒÔºóÓÐÁ½¸ö·å£¬ËµÃ÷ÊDZ£ÎÂ500¶ÈµÄ½á¹û£¬ÊÇÒòΪ²£Á§·ÖÏàÁËÂð |

5Â¥2013-04-11 15:13:51
flash6669
ľ³æ (ÖøÃûдÊÖ)
- Ó¦Öú: 7 (Ó×¶ùÔ°)
- ½ð±Ò: 2397.1
- ºì»¨: 4
- Ìû×Ó: 1684
- ÔÚÏß: 140.7Сʱ
- ³æºÅ: 461169
- ×¢²á: 2007-11-18
- ÐÔ±ð: GG
- רҵ: ²£Á§²ÄÁÏ
6Â¥2013-04-11 16:26:06
yanguojin
ľ³æ (ÖøÃûдÊÖ)
- Ó¦Öú: 25 (СѧÉú)
- ½ð±Ò: 2813
- É¢½ð: 67
- ºì»¨: 2
- Ìû×Ó: 1171
- ÔÚÏß: 240.3Сʱ
- ³æºÅ: 828754
- ×¢²á: 2009-08-16
- ÐÔ±ð: GG
- רҵ: ÆäËûÎÞ»ú·Ç½ðÊô²ÄÁÏ
7Â¥2013-04-11 18:26:19
herujie2003jci
½ð³æ (ÖøÃûдÊÖ)
- Ó¦Öú: 104 (¸ßÖÐÉú)
- ¹ó±ö: 0.001
- ½ð±Ò: 4395.6
- É¢½ð: 1332
- ºì»¨: 4
- Ìû×Ó: 1161
- ÔÚÏß: 324.4Сʱ
- ³æºÅ: 426700
- ×¢²á: 2007-07-28
- ÐÔ±ð: GG
- רҵ: ½á¹¹ÌÕ´É
- ¹ÜϽ: ÎÞ»ú·Ç½ðÊô
8Â¥2013-04-11 19:26:33

9Â¥2013-04-12 16:48:14














»Ø¸´´ËÂ¥