| 查看: 3556 | 回复: 12 | ||
xiaoniu1981铁杆木虫 (正式写手)
|
[求助]
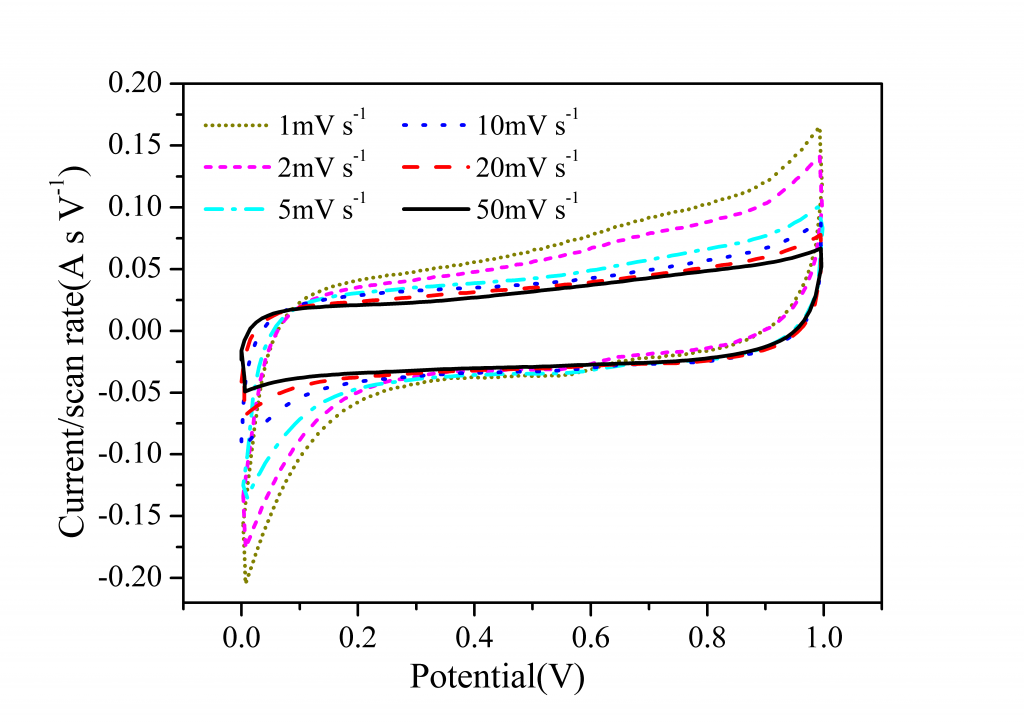
循环伏安怎么用电容对电势作图 已有3人参与
|
|
Supercapacitor |
» 猜你喜欢
湖南农业大学能源材料创新团队招收2025化学专业研究生(学硕)调剂
已经有0人回复
2026年西华大学材料学院-材料近净成形与表面技术研究团队-招收调剂研究生
已经有9人回复
分析化学论文润色/翻译怎么收费?
已经有138人回复
调剂信息
已经有0人回复
华南理工0703化学,总分336求调剂
已经有1人回复
河北农大生物与医药专业招收调剂,名额充足
已经有0人回复
齐鲁工业大学 国家重点实验室-新能源、锂离子电池、材料、化学方向
已经有0人回复
一志愿前4位代码0703均可报名-河北大学分析化学专业招收调剂考生
已经有57人回复
★★爆★★0860生物与医药调剂考生看过来,河北大学化学与材料科学学院
已经有64人回复
杰青/长江团队招收调剂
已经有0人回复
中南林业科技大学罗勇锋教授团队2026年招收材料类调剂研究生
已经有0人回复
» 本主题相关价值贴推荐,对您同样有帮助:
循环伏安中电容的计算
已经有15人回复
循环伏安法计算超级电容器电容
已经有8人回复
请教一下为什么做电容器的循环伏安测试时,当扫描倍率在20mv就出现两条曲线?
已经有19人回复
循环伏安和恒流充放电各自作用
已经有12人回复
怎么测某种物质的氧化还原电位?
已经有10人回复
关于循环伏安法测电极比容,谁能解释的。。。来啊!!!
已经有5人回复
循环伏安法测超级电容器时三个电极是怎样接的,要注意什么问题
已经有3人回复
如何在循环伏安图中看电容电流的大小??
已经有6人回复
循环伏安法(CV)的基本特征
已经有5人回复
求助 超级电容器循环伏安问题
已经有14人回复
利用循环伏安曲线计算比电容
已经有15人回复
电化学方法制作超级电容器二氧化锰电极,循环伏安和交流阻抗曲线分析
已经有10人回复
【求助】循环伏安计算比电容具体
已经有10人回复
【求助】循环伏安测电容
已经有5人回复
求助 循环伏安曲线
已经有21人回复
ycbj220
木虫 (小有名气)
- 应助: 0 (幼儿园)
- 金币: 2024.5
- 散金: 100
- 红花: 4
- 帖子: 221
- 在线: 89.2小时
- 虫号: 3203238
- 注册: 2014-05-13
- 性别: GG
- 专业: 半导体材料
10楼2015-08-06 22:01:32
6楼2014-11-06 10:44:06
Jackcd12
至尊木虫 (知名作家)
- ECEPI: 13
- 应助: 2150 (讲师)
- 金币: 13912.4
- 红花: 366
- 帖子: 7631
- 在线: 2165.4小时
- 虫号: 1865159
- 注册: 2012-06-20
- 性别: GG
- 专业: 电化学

2楼2013-04-07 12:39:37
daofin
至尊木虫 (职业作家)
- 应助: 42 (小学生)
- 金币: 14911.7
- 散金: 204
- 红花: 19
- 沙发: 7
- 帖子: 4321
- 在线: 2549.6小时
- 虫号: 382926
- 注册: 2007-05-25
- 性别: GG
- 专业: 力学中的基本问题和方法

3楼2013-04-07 12:56:58
xiaoniu1981
铁杆木虫 (正式写手)
- 应助: 2 (幼儿园)
- 金币: 5553.8
- 散金: 1181
- 红花: 5
- 帖子: 868
- 在线: 223.1小时
- 虫号: 358445
- 注册: 2007-04-28
- 专业: 无机非金属材料
4楼2013-04-07 15:15:24

5楼2013-12-13 22:43:34
7楼2015-04-17 11:41:04
VIMPILE
版主 (知名作家)
- 应助: 311 (大学生)
- 贵宾: 3.848
- 金币: 54841.7
- 散金: 169
- 红花: 114
- 沙发: 8
- 帖子: 6630
- 在线: 613.5小时
- 虫号: 2217486
- 注册: 2013-01-01
- 性别: GG
- 专业: 高分子物理与高分子物理化
- 管辖: 考研
8楼2015-04-17 13:20:11
9楼2015-04-17 13:33:27














回复此楼

