Znn3bq.jpeg
ÉÇÍ·´óѧº£Ñó¿ÆÑ§½ÓÊܵ÷¼Á
²é¿´: 1146  |  »Ø¸´: 1

walxf1987

гæ (СÓÐÃûÆø)

[ÇóÖú] ÈçºÎÓÃorigin»­³öµ¼ÈÈBruggeman·½³Ì»òÄ£Äâ´Ë·½³Ì

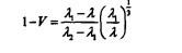
Ô­·½³ÌÈçͼ1  ´øÈëÒÑÖª²ÎÊýÈçͼ2  ÎÒÏëÔÚͼÖл­³öÕâ¸ö·½³ÌµÄÇúÏß  ÓÉÓڵȺÅ×ó±ßΪº¬YµÄ¶àÏîʽ ËùÒÔ²»ÖªµÀÔõô´¦Àí

δÃüÃû.jpg



δÃüÃû1.jpg
»Ø¸´´ËÂ¥

» ²ÂÄãϲ»¶

» ±¾Ö÷ÌâÏà¹Ø¼ÛÖµÌùÍÆ¼ö£¬¶ÔÄúͬÑùÓаïÖú:

¸É°Í´ô
ÒÑÔÄ   »Ø¸´´ËÂ¥   ¹Ø×¢TA ¸øTA·¢ÏûÏ¢ ËÍTAºì»¨ TAµÄ»ØÌû

lgycjpcqu

½ð³æ (ÕýʽдÊÖ)

¡¾´ð°¸¡¿Ó¦Öú»ØÌû

¡ï
¸Ðл²ÎÓ룬ӦÖúÖ¸Êý +1
dbb627: ½ð±Ò+1, ¸ÐлӦÖú 2013-03-25 17:13:17
»­Í¼ÊǰÑxµ±³É´¦Àí£¬yµ±³ÉxÕâÑù´¦Àí¿ÉÒÔ²»
¹«Ê½¾Í±ä³Éy=1-((0.317-x)/(0.317-0.13))*(0.317/x)^1/3
È»ºóÔÚoriginµÄfunctionÒ³ÃæÏ»æÍ¼
Äã¿´¿´ÊÇÄãÏëÒªµÄ²»

originplot.jpg

2Â¥2013-03-25 09:26:29
ÒÑÔÄ   »Ø¸´´ËÂ¥   ¹Ø×¢TA ¸øTA·¢ÏûÏ¢ ËÍTAºì»¨ TAµÄ»ØÌû
Ïà¹Ø°æ¿éÌø×ª ÎÒÒª¶©ÔÄÂ¥Ö÷ walxf1987 µÄÖ÷Ìâ¸üÐÂ
×î¾ßÈËÆøÈÈÌûÍÆ¼ö [²é¿´È«²¿] ×÷Õß »Ø/¿´ ×îºó·¢±í
[¿¼ÑÐ] 085600²ÄÁÏÓ뻯¹¤329·ÖÇóµ÷¼Á +19 Ò¶zilin 2026-04-13 20/1000 2026-04-14 00:23 by ¸£Å©×Ê»·_»·¾³»ù
[¿¼ÑÐ] Ò»Ö¾Ô¸»ªÄÏÀí¹¤´óѧ331·Ö²ÄÁÏÇóµ÷¼Á +10 ÌìÏÂww 2026-04-09 11/550 2026-04-13 23:25 by pies112
[¿¼ÑÐ] ¿¼Ñе÷¼Á +11 ³¤¹­°Á 2026-04-13 12/600 2026-04-13 22:48 by pies112
[¿¼ÑÐ] 274Çóµ÷¼Á +8 ɽ°¢Âû 2026-04-07 8/400 2026-04-13 20:32 by biomen
[¿¼ÑÐ] µ÷¼Á +27 ²»·ê´º 2026-04-07 28/1400 2026-04-13 20:19 by xxy88888
[¿¼ÑÐ] 272·Ö²ÄÁÏ×ÓÇóµ÷¼Á +41 Loy0361 2026-04-10 53/2650 2026-04-13 14:20 by ÕÅzhihao
[¿¼ÑÐ] ¡£ +10 Àî¶àÃ×lee. 2026-04-12 11/550 2026-04-12 22:58 by yuyin1233
[¿¼ÑÐ] 296Çóµ÷¼Á +14 Íô£¡£¿£¡ 2026-04-10 16/800 2026-04-12 10:48 by zhouyuwinner
[¿¼ÑÐ] 298Çóµ÷¼Á +5 ²ÐºÉÐÂÁø 2026-04-07 5/250 2026-04-11 11:02 by ×ÏêØ×ÏÆå
[¿¼ÑÐ] ¹ã¶«Ê¡ 085601 329·ÖÇóµ÷¼Á +14 Eddieddd 2026-04-10 14/700 2026-04-11 09:58 by bljnqdcc
[¿¼ÑÐ] 346£¬¹¤¿Æ0854Çóµ÷¼Á£¬×¨Ë¶ +7 moser233 2026-04-10 8/400 2026-04-11 08:52 by Öí»á·É
[¿¼ÑÐ] ÉúÎïѧ308Çóµ÷¼Á£¨Ò»Ö¾Ô¸»ª¶«Ê¦´ó£© +6 ÏàÐűػá¹ââÍòÕ 2026-04-10 6/300 2026-04-11 05:23 by zhuwenxu
[¿¼ÑÐ] 263ÄÜÔ´¶¯Á¦×¨Ë¶Çóµ÷¼Á +4 ¼Ó´óºÅ·¹ºÐ´ü 2026-04-10 4/200 2026-04-10 20:52 by gong120082
[¿¼ÑÐ] Çóµ÷¼Á +5 ²»»á·ÉµÄÓã@ 2026-04-10 5/250 2026-04-10 19:07 by chemisry
[¿¼ÑÐ] 296Çóµ÷¼Á +6 Íô£¡£¿£¡ 2026-04-08 6/300 2026-04-10 11:02 by mattzhming
[¿¼ÑÐ] Çóµ÷¼Á +11 ôæôæÒ»ÊéÉú 2026-04-09 13/650 2026-04-10 10:27 by liuhuiying09
[¿¼ÑÐ] 070300»¯Ñ§ Çóµ÷¼Á +13 73372112 2026-04-08 13/650 2026-04-09 20:22 by maddjdld
[¿¼ÑÐ] ¿¼Ñе÷¼Á-²ÄÁÏÀà-284 +28 Ïë»»ÊÖ»ú²»Ïë½âÊ 2026-04-08 28/1400 2026-04-09 20:08 by µ¹Êý321?
[¿¼ÑÐ] 083200 ³õÊÔ305·Ö Çóµ÷¼Á Ôݲ»¿¼ÂÇ¿çרҵ +15 Claireyyyy 2026-04-09 15/750 2026-04-09 16:11 by zhuimr
[¿¼ÑÐ] 259Çóµ÷¼Á +5 ¾Í°®³ÔÍÁ¶¹Ñ½Ñ½ 2026-04-07 5/250 2026-04-07 22:40 by JourneyLucky
ÐÅÏ¢Ìáʾ
ÇëÌî´¦ÀíÒâ¼û