| 查看: 710 | 回复: 2 | |
[求助]
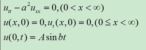
数学物理方法题
|
|
|
|
|
lin417铁杆木虫 (著名写手)
微信:xglin86
|
|
![]() |
|
|
2楼2013-03-20 09:20:11
|
|
y9073木虫 (小有名气)
|
|
|
3楼2013-03-21 07:16:11
|
|













回复此楼
