24小时热门版块排行榜    

北京石油化工学院2026年研究生招生接收调剂公告
查看: 271  |  回复: 0

asd249454050

铜虫 (小有名气)

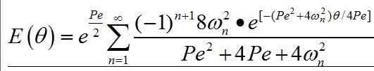
[求助] 求助关于停留时间分布的问题

在非理想流动中,轴向扩散模型有E(θ)的计算公式如附件图片所示,在求出Pe及ωn的前提下如何得出E(θ)关于θ的值,在线等高人解答啊。如何作出θ~E(θ)的图像来作为理论分布图。
PS:给力答案会有金币追加啊!

公式.jpg
回复此楼
已阅   回复此楼   关注TA 给TA发消息 送TA红花 TA的回帖

智能机器人

Robot (super robot)

我们都爱小木虫

相关版块跳转 我要订阅楼主 asd249454050 的主题更新
最具人气热帖推荐 [查看全部] 作者 回/看 最后发表
[考研] 070300化学279求调剂 +15 哈哈哈^_^ 2026-03-31 17/850 2026-04-01 21:37 by 给你你注意休息
[考研] 英一数二生物信息学287分,本科生物科学,求调剂 +3 碧水xyz 2026-03-29 4/200 2026-04-01 15:35 by plum
[考研] 材料调剂 +11 一样YWY 2026-03-31 11/550 2026-04-01 11:35 by wangjy2002
[考研] 材料调剂 +10 Eujd1 2026-03-31 11/550 2026-04-01 11:23 by ivanqyq
[考研] 086000生物与医药298调剂求助 +4 元元青青 2026-03-31 6/300 2026-04-01 11:13 by syh9288
[考研] 08工科,295,接受跨专业调剂 +6 lmnlzy 2026-03-31 6/300 2026-04-01 11:02 by 逆水乘风
[考研] 080500-315分复试调剂 +9 上岸3821 2026-03-31 9/450 2026-03-31 17:29 by 唐沐儿
[考研] 343求调剂 +8 爱羁绊 2026-03-28 8/400 2026-03-31 16:12 by 不吃魚的貓
[考研] 081200-11408-276学硕求调剂 +4 崔wj 2026-03-31 4/200 2026-03-31 11:56 by jp9609
[考研] 269求调剂 +4 我想读研11 2026-03-31 4/200 2026-03-31 10:04 by cal0306
[考研] 083000学硕274求调剂 +12 Li李鱼 2026-03-26 12/600 2026-03-31 10:01 by cal0306
[考研] 一志愿大连理工大学材料求调剂 +6 Gymno 2026-03-30 6/300 2026-03-31 07:26 by 无际的草原
[考研] 105500药学求调剂,一志愿山东大学药学,348分 +3 gr哈哈哈 2026-03-28 3/150 2026-03-30 18:56 by 源_2020
[考研] 一志愿厦门大学材料工程专硕354找调剂!!! +5 贝呗钡钡 2026-03-30 5/250 2026-03-30 18:16 by 无际的草原
[考研] 303求调剂 +7 DLkz1314. 2026-03-30 7/350 2026-03-30 16:05 by shuang5186
[考研] 085600,材料与化工321分求调剂 +10 大馋小子 2026-03-28 10/500 2026-03-29 23:35 by 飞行日记西
[考研] 一志愿北京工业大学,324分求调剂 +6 零八# 2026-03-28 6/300 2026-03-29 21:20 by nanaliuyun
[考研] 081200-11408-276学硕求调剂 +6 崔wj 2026-03-26 6/300 2026-03-29 01:11 by hanserlol
[考研] 356求调剂 +3 gysy?s?a 2026-03-28 3/150 2026-03-29 00:33 by 544594351
[考研] 本科新能源科学与工程,一志愿华理能动285求调剂 +3 AZMK 2026-03-27 5/250 2026-03-28 16:19 by xxxsssccc
信息提示
请填处理意见