版块导航
正在加载中...
客户端APP下载
论文辅导
申博辅导
登录
注册
帖子
帖子
用户
本版
应《网络安全法》要求,自2017年10月1日起,未进行实名认证将不得使用互联网跟帖服务。为保障您的帐号能够正常使用,请尽快对帐号进行手机号验证,感谢您的理解与支持!
24小时热门版块排行榜
>
论坛更新日志
(431)
>
虫友互识
(41)
>
导师招生
(19)
>
硕博家园
(14)
>
教师之家
(11)
>
招聘信息布告栏
(9)
>
文献求助
(6)
>
休闲灌水
(6)
>
博后之家
(5)
>
基金申请
(5)
>
公派出国
(5)
>
考博
(4)
>
找工作
(3)
>
考研
(3)
>
论文道贺祈福
(2)
>
有机交流
(2)
小木虫论坛-学术科研互动平台
»
化学化工区
»
电化学
»
电分析测试
»
求助 CV图求指点
5
1/1
返回列表
查看: 552 | 回复: 3
只看楼主
@他人
存档
新回复提醒
(忽略)
收藏
在APP中查看
当前只显示满足指定条件的回帖,点击这里查看本话题的所有回帖
na_ocean
新虫
(初入文坛)
应助: 1
(幼儿园)
金币: 51.5
帖子: 7
在线: 9.4小时
虫号: 2230481
注册: 2013-01-09
专业: 电化学分析
[
求助
]
求助 CV图求指点
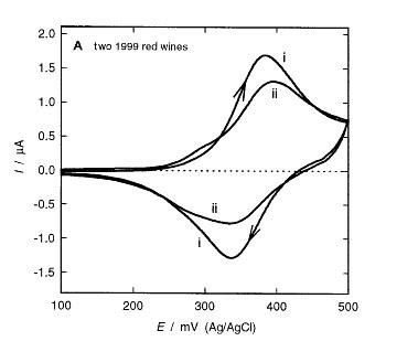
CV图求助 求高手指点
我做的是用循环伏安法检测葡萄酒
我的电解质是PH=3.6的标准葡萄酒溶液(12%酒精,0.033M酒石酸,1MNAOH)
电极是工作电极 玻碳电极,参比电极 Ag/AgCl电极,辅助电极 铂片电极
下图是将红葡萄酒加入标准液中通电后的得到的CV图
请问是什么原因导致没有出现文献中的氧化还原峰啊 万分感谢
我自己的图.jpg
文献中的图.jpg
回复此楼
» 猜你喜欢
大连工业大学招收储能电池方向博士1名
已经有0人回复
《把心放慢,世界就会温柔起来》
已经有0人回复
物理化学论文润色/翻译怎么收费?
已经有254人回复
钠离子硬碳负极扣式半电池组装都没有电流!!!
已经有2人回复
Ni元素XPS分析
已经有1人回复
广东以色列理工材料系能源与电子材料课题组——博士(以色列理工学位)
已经有3人回复
青岛大学化学化工学院分子测量学研究院2026年招收博士研究生
已经有0人回复
求一份origin2019以上版本的origin软件压缩包
已经有1人回复
电化学基础知识与资源网站
已经有2人回复
宁夏大学国家重点实验室膜分离课题组招收2026级博士生
已经有0人回复
» 本主题相关价值贴推荐,对您同样有帮助:
如何网上投寄简历 经验人士指点一下
已经有21人回复
跪求指点,超级电容器,CV曲线不对称
已经有13人回复
请过来人指点一下,外导CV 6页 会影响申请吗?
已经有13人回复
【求助】求助关于流式细胞的细胞周期检测结果分析
已经有7人回复
【求助】修饰电极CV图是这样的说明什么呀?求各位指点下
已经有5人回复
【求助】请教有机循环伏安中的内标
已经有18人回复
【求助】关于循环伏安测试的扫描速率问题
已经有15人回复
【求助】parstat2273 不会啊
已经有3人回复
【求助】极化曲线与循环伏安的扫速问题
已经有7人回复
985土鳖博士投简历求指点
已经有27人回复
【求助】有:计算机视觉—结合硬件(照明,CCD等)/结合光学研究方向成果吗?
已经有15人回复
【求助】我的CV曲线怎么是这样,请高手指点!
已经有7人回复
1楼
2013-03-06 09:51:51
已阅
回复此楼
关注TA
给TA发消息
送TA红花
TA的回帖
电池小兵
铁杆木虫
(著名写手)
ECEPI: 62
应助: 445
(硕士)
贵宾: 0.671
金币: 7604.9
散金: 100
红花: 64
帖子: 1021
在线: 286.6小时
虫号: 1881862
注册: 2012-07-06
性别: GG
专业: 电化学
【答案】应助回帖
感谢参与,应助指数 +1
zhuxh08
金虫
(小有名气)
应助: 46
(小学生)
金币: 1570
红花: 4
帖子: 242
在线: 186.8小时
虫号: 726826
注册: 2009-03-20
性别: GG
专业: 生化分析及生物传感
【答案】应助回帖
感谢参与,应助指数 +1
aiman
金虫
(正式写手)
应助: 12
(小学生)
金币: 711
红花: 1
帖子: 921
在线: 32.7小时
虫号: 2316058
注册: 2013-03-04
专业: 能源化工
查看全部 4 个回答
如果回帖内容含有宣传信息,请如实选中。否则帐号将被全论坛禁言
普通表情
龙
兔
虎
猫
百度网盘
|
360云盘
|
千易网盘
|
华为网盘
在新窗口页面中打开自己喜欢的网盘网站,将文件上传后,然后将下载链接复制到帖子内容中就可以了。
信息提示
关闭
请填处理意见
关闭
确定