24小时热门版块排行榜    

查看: 565  |  回复: 1

边界

铜虫 (小有名气)

[求助] 求助matlab有限差分程序

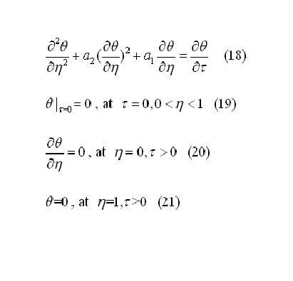
如图所示的方程 那位大侠给个matlab有限差分程序 感激不尽

未命名.JPG
回复此楼
已阅   回复此楼   关注TA 给TA发消息 送TA红花 TA的回帖

边界

铜虫 (小有名气)

自己先顶起来
2楼2013-07-10 11:24:06
已阅   回复此楼   关注TA 给TA发消息 送TA红花 TA的回帖
相关版块跳转 我要订阅楼主 边界 的主题更新
最具人气热帖推荐 [查看全部] 作者 回/看 最后发表
[考研] 材料学学硕080502 337求调剂-一志愿华中科技大学 +3 顺顺顺mr 2026-03-18 4/200 2026-03-21 08:20 by JourneyLucky
[考研] 南昌大学材料专硕311分求调剂 +6 77chaselx 2026-03-20 6/300 2026-03-21 07:24 by JourneyLucky
[考研] 华东师范大学-071000生物学-293分-求调剂 +3 研究生何瑶明 2026-03-18 3/150 2026-03-21 01:30 by JourneyLucky
[考研] 材料专硕英一数二306 +7 z1z2z3879 2026-03-18 7/350 2026-03-20 23:48 by JourneyLucky
[考研] 321求调剂 +9 何润采123 2026-03-18 11/550 2026-03-20 23:19 by JourneyLucky
[考研] 304求调剂 +7 司空. 2026-03-18 7/350 2026-03-20 23:08 by JourneyLucky
[考研] 0817 化学工程 299分求调剂 有科研经历 有二区文章 +22 rare12345 2026-03-18 22/1100 2026-03-20 20:39 by zhukairuo
[考研] 一志愿西安交通大学 学硕 354求调剂 +3 我想要读研究生 2026-03-20 3/150 2026-03-20 20:13 by JourneyLucky
[考研] 材料与化工专硕调剂 +7 heming3743 2026-03-16 7/350 2026-03-20 19:31 by zhukairuo
[考研] 一志愿南理工085701环境302求调剂院校 +3 葵梓卫队 2026-03-20 3/150 2026-03-20 19:28 by zhukairuo
[考研] 0856调剂,是学校就去 +8 sllhht 2026-03-19 9/450 2026-03-20 14:25 by 无懈可击111
[考研] 材料学硕318求调剂 +5 February_Feb 2026-03-19 5/250 2026-03-19 23:51 by 23Postgrad
[考研] 材料与化工求调剂 +7 为学666 2026-03-16 7/350 2026-03-19 14:48 by 尽舜尧1
[考研] 一志愿福大288有机化学,求调剂 +3 小木虫200408204 2026-03-18 3/150 2026-03-19 13:31 by houyaoxu
[考研] 【同济软件】软件(085405)考研求调剂 +3 2026eternal 2026-03-18 3/150 2026-03-18 19:09 by 搏击518
[考研] 311求调剂 +6 26研0 2026-03-15 6/300 2026-03-18 14:43 by haxia
[考研] 材料,纺织,生物(0856、0710),化学招生啦 +3 Eember. 2026-03-17 9/450 2026-03-18 10:28 by Eember.
[考博] 26博士申请 +3 1042136743 2026-03-17 3/150 2026-03-17 23:30 by 轻松不少随
[考研] 东南大学364求调剂 +5 JasonYuiui 2026-03-15 5/250 2026-03-16 21:28 by 木瓜膏
[考研] 0854控制工程 359求调剂 可跨专业 +3 626776879 2026-03-14 9/450 2026-03-16 17:42 by 626776879
信息提示
请填处理意见