| 查看: 1441 | 回复: 2 | |
scq123金虫 (小有名气)
|
[求助]
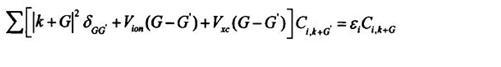
kohn-sham方程怎么展开的
|
|
|
|
wunianleng金虫 (小有名气)
|
|
|
2楼2013-03-01 20:42:21
|
|
scq123金虫 (小有名气)
|
|
|
3楼2013-03-04 09:06:05
|
|













回复此楼