| 查看: 730 | 回复: 4 | |
[求助]
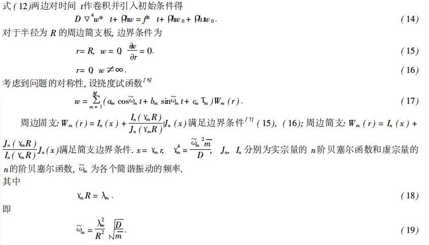
贝塞尔函数做试函数的伽辽金法解圆板振动问题
|
|
|
|
|
|
2楼2013-02-06 11:47:34
|
|
|
3楼2013-02-06 15:44:17
|
|
相敬如宾银虫 (小有名气)
|
|
|
4楼2013-02-07 09:00:40
|
|
|
5楼2013-02-07 09:46:28
|
|













回复此楼