| 查看: 458 | 回复: 2 | ||
[求助]
如何用UDF编写矢量方程
|
|
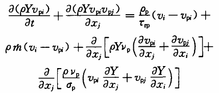
想编写一个有速度矢量的控制方程,现在唯一能想到的办法就是把速度矢量拆解成各个方向的标量,用UDS实现,不知各位高人有何更高明的办法?另外不知方程的后两项如何编进方程,是作为扩散项还是作为源项?恳请各位高人指教,不胜感谢! 图片1.png |
» 猜你喜欢
263求调剂
已经有3人回复
求调剂
已经有15人回复
293调剂
已经有3人回复
机械工程264学硕求调剂
已经有3人回复
264求调剂
已经有9人回复
求调剂
已经有6人回复
22408 266求调剂
已经有7人回复
273求调剂
已经有43人回复
307求调剂
已经有13人回复
327求调剂
已经有7人回复
» 本主题相关价值贴推荐,对您同样有帮助:
fluent-udf自定义标量方程边界条件
已经有5人回复
求助,动网格中关于UDF编写中编写一个差分方程的问题
已经有6人回复
这个求解浓度方程的udf怎么不对呢?急啊急啊~SOS
已经有7人回复
【讨论】这个问题fluent软件可以求解吗?
已经有4人回复
【求助】具有标量势和矢量势的Klein-Gordon方程和Dirac方程
已经有15人回复
★ ★ ★ ★ ★ ★ ★
感谢参与,应助指数 +1
liuil: 金币+5, ★★★很有帮助 2013-01-21 22:00:15
xiegangmai: 金币+2, 谢谢参与! 2013-01-24 20:25:47
感谢参与,应助指数 +1
liuil: 金币+5, ★★★很有帮助 2013-01-21 22:00:15
xiegangmai: 金币+2, 谢谢参与! 2013-01-24 20:25:47
|
本帖内容被屏蔽 |
2楼2013-01-21 13:00:49
3楼2013-01-21 13:26:10














回复此楼