| 查看: 1412 | 回复: 6 | ||
youngyoung09新虫 (初入文坛)
|
[求助]
求助,动网格中关于UDF编写中编写一个差分方程的问题
|
|
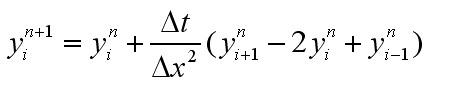
想通过n时刻三个节点(i+1,i,i-1)位置X坐标的运算,得出n+1时刻i节点坐标 1.通过begin_f_loop,和,f_node_loop,得到n时刻,i的坐标,如何同时得到其它两个节点的坐标??? 2.公式 中△x(相邻网格的坐标差)如何得到???? 先谢谢各位。。 |
» 猜你喜欢
到新单位后,换了新的研究方向,没有团队,持续积累2区以上论文,能申请到面上吗
已经有7人回复
申请2026年博士
已经有5人回复
天津工业大学郑柳春团队欢迎化学化工、高分子化学或有机合成方向的博士生和硕士生加入
已经有5人回复
寻求一种能扛住强氧化性腐蚀性的容器密封件
已经有6人回复
2025冷门绝学什么时候出结果
已经有7人回复
请问有评职称,把科研教学业绩算分排序的高校吗
已经有6人回复
Bioresource Technology期刊,第一次返修的时候被退回好几次了
已经有7人回复
请问哪里可以有青B申请的本子可以借鉴一下。
已经有4人回复
请问下大家为什么这个铃木偶联几乎不反应呢
已经有5人回复
康复大学泰山学者周祺惠团队招收博士研究生
已经有6人回复
» 本主题相关价值贴推荐,对您同样有帮助:
FLUENT源项UDF非稳态迭代的一个疑问请教
已经有8人回复
UDF源项的一个疑问
已经有14人回复
求助:UDF模型的编译问题
已经有15人回复
fluent中如何编写风剖面的UDF
已经有6人回复
【求助】求UDF高手帮忙看看我的问题
已经有18人回复
【求助】Warning: incorrect cg motion UDF value on zone 35
已经有5人回复
求助一个差分方程的MATLAB实现
已经有3人回复
【求助】请问怎么用MATALAB编写一个空间几何体的受力变形程序??
已经有3人回复
【求助】fluent计算中,udf编译通过,初始化出错
已经有11人回复
【求助】一个壁面沿X方向平动的UDF,始终编译不对【已解决】
已经有6人回复
2楼2012-04-05 10:37:57
3楼2012-04-05 11:40:30
youngyoung09
新虫 (初入文坛)
- 应助: 0 (幼儿园)
- 金币: 35.7
- 散金: 10
- 帖子: 49
- 在线: 17小时
- 虫号: 1482678
- 注册: 2011-11-08
- 性别: MM
- 专业: 工程热物理相关交叉领域
4楼2012-04-05 12:17:10
youngyoung09
新虫 (初入文坛)
- 应助: 0 (幼儿园)
- 金币: 35.7
- 散金: 10
- 帖子: 49
- 在线: 17小时
- 虫号: 1482678
- 注册: 2011-11-08
- 性别: MM
- 专业: 工程热物理相关交叉领域
5楼2012-04-05 12:17:53
6楼2012-05-28 14:07:13
youngyoung09
新虫 (初入文坛)
- 应助: 0 (幼儿园)
- 金币: 35.7
- 散金: 10
- 帖子: 49
- 在线: 17小时
- 虫号: 1482678
- 注册: 2011-11-08
- 性别: MM
- 专业: 工程热物理相关交叉领域
7楼2012-06-06 11:48:16













回复此楼
