| 查看: 404 | 回复: 2 | ||
yyfeifei木虫 (正式写手)
|
[求助]
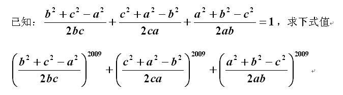
一初中分式题5金币1
|
|
|
|
||
longhua_nudt金虫 (小有名气)
金虫
|
【答案】应助回帖
★ ★ ★ ★ ★
感谢参与,应助指数 +1 yyfeifei: 金币+5, ★★★★★最佳答案, 谢谢大侠 2013-01-17 07:51:46
|
|
|
2楼2013-01-17 04:56:17
|
|
|
longhua_nudt金虫 (小有名气)
金虫
|
||
|
3楼2013-01-17 04:58:17
|
|














回复此楼