| ²é¿´: 2613 | »Ø¸´: 5 | ||
jianqin½ð³æ (ÕýʽдÊÖ)
|
[ÇóÖú]
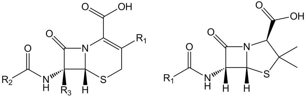
Çë½ÌESIÕýÀë×ÓÏÂôÈËáÖÐÐÔ¶ªÊ§CO2µÄ»úÀí
|
|
|
|
||
organicsuperľ³æ (ÕýʽдÊÖ)
|
¡¾´ð°¸¡¿Ó¦Öú»ØÌû
¡ï ¡ï ¡ï ¡ï
jianqin: ½ð±Ò+3 2012-12-30 18:36:53 crity328: ½ð±Ò+1, ¹ÄÀø½»Á÷£¬»¶Ó³£À´·ÖÎö°æ~~ 2013-01-11 09:21:15
|
|
|
2Â¥2012-12-29 21:16:22
|
|
|
jianqin½ð³æ (ÕýʽдÊÖ)
|
|
|
|
3Â¥2012-12-29 23:04:36
|
|
|
spectmass
|
||
|
4Â¥2013-01-11 09:14:46
|
|
|
jianqin½ð³æ (ÕýʽдÊÖ)
|
||
|
5Â¥2013-01-11 09:21:29
|
|
|
spectmass
|
||
|
6Â¥2013-01-11 09:25:46
|
|














»Ø¸´´ËÂ¥

5