版块导航
正在加载中...
客户端APP下载
登录
注册
帖子
帖子
用户
本版
应《网络安全法》要求,自2017年10月1日起,未进行实名认证将不得使用互联网跟帖服务。为保障您的帐号能够正常使用,请尽快对帐号进行手机号验证,感谢您的理解与支持!
24小时热门版块排行榜
>
论坛更新日志
(3285)
>
虫友互识
(327)
>
文献求助
(281)
>
导师招生
(238)
>
休闲灌水
(212)
>
考博
(114)
>
硕博家园
(94)
>
基金申请
(91)
>
招聘信息布告栏
(84)
>
仿真模拟
(53)
>
博后之家
(52)
>
论文投稿
(45)
>
绿色求助(高悬赏)
(28)
>
论文道贺祈福
(26)
>
考研
(23)
>
海外博后
(20)
小木虫论坛-学术科研互动平台
»
化学化工区
»
环境
»
环境学堂
»
Origin对数据进行Langmuir拟合为啥结果显示为failed
5
1/1
返回列表
查看: 3279 | 回复: 4
只看楼主
@他人
存档
新回复提醒
(忽略)
收藏
在APP中查看
凡cool
新虫
(初入文坛)
应助: 0
(幼儿园)
金币: 106.5
红花: 1
帖子: 3
在线: 9.3小时
虫号: 1858953
注册: 2012-06-14
专业: 环境污染化学
[
求助
]
Origin对数据进行Langmuir拟合为啥结果显示为failed
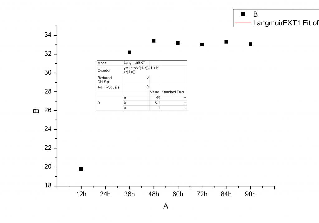
Origin对数据进行Langmuir拟合为啥结果显示为failed,拟合结果显示的各项参数为拟合前赋予的初始值
12h 19.8
24h 27.9
36h 32.2
48h 33.4
60h 33.2
72h 33
84h 33.3
90h 33.05
B
Number of Points 0
Degrees of Freedom 0
Reduced Chi-Sqr 0
Residual Sum of Squares --
Adj. R-Square 0
Fit Status Failed(-207)
Graph1.jpg
回复此楼
» 收录本帖的淘帖专辑推荐
吸附研究
» 猜你喜欢
招收调剂生(一志愿07开头专业),海洋生物专业4个名额
已经有14人回复
复试调剂-招收调剂生(一志愿07开头专业),海洋生物专业4个名额
已经有12人回复
建筑环境与结构工程论文润色/翻译怎么收费?
已经有116人回复
省重点实验室招收调剂生(一志愿07开头专业),海洋生物专业名额充足
已经有0人回复
省重点实验室招收调剂生(一志愿07开头专业),海洋生物专业名额充足
已经有16人回复
省重点实验室招收调剂生,海洋生物专业名额充足
已经有12人回复
省重点实验室招收调剂生,海洋生物专业,名额充足,可快速安排复试并出结果
已经有0人回复
井冈山大学生命科学学院还有较多调剂名额,欢迎调剂
已经有0人回复
广元市朝天区老年养护院建设项目地块土壤污染状况初步调查报告
已经有0人回复
广东工业大学环境科学与工程学院招环境专博
已经有0人回复
26年博士申请
已经有2人回复
» 本主题相关价值贴推荐,对您同样有帮助:
origin拟合langmuir模型出现的问题
已经有7人回复
请问有人会用origin拟合数据用自定义的公式么?急急!
已经有8人回复
origin进行自定义非线性拟合
已经有15人回复
用MATLAB或者ORIGIN怎么拟合复数数据
已经有10人回复
求助origin非线性拟合实验数据
已经有12人回复
用origin对数据进行Langmuir拟合,为什么出现一条横线呢?急
已经有22人回复
关于用 origin 8.0 采用Langmuir和 Freundlich 模型对实验数据进行拟合
已经有12人回复
origin进行非线性拟合如何选择函数或者自定义合适的函数
已经有19人回复
origin8.0拟合langmuir和freundlich原始方程时,未出现曲线而是一条横线
已经有2人回复
求助,origin7.5 中的非线性拟合参数为什么一直在变,而且误差很大!!!
已经有4人回复
为什么同样的数据,origin 和excel做成的拟合公式不同?
已经有13人回复
origin进行自定义函数的拟合
已经有3人回复
origin多组数据如何用一条曲线拟合
已经有11人回复
用origin如何在一个图中对多组连续的点进行线性拟合呢?
已经有5人回复
【求助】zsimpwin 软件拟合图谱的数据如何输出到origin作图?
已经有25人回复
origin多组数据用一条曲线拟合
已经有20人回复
请教如何用origin 对柱状图数据拟合
已经有3人回复
求助origin自定义函数数据拟合
已经有19人回复
Origin8.0SR4线性拟合的趋势线在始终端总是出现双向箭头,怎样消除?
已经有5人回复
请问如何在Origin中对一组数据做如附图的拟合
已经有5人回复
【分享】origin 8 对XRD数据图形拟合的小技巧
已经有31人回复
origin7.5建立函数拟合为什么会这样?
已经有11人回复
1楼
2012-12-23 22:49:08
已阅
回复此楼
关注TA
给TA发消息
送TA红花
TA的回帖
dcpo
金虫
(小有名气)
应助: 8
(幼儿园)
金币: 1649.7
红花: 9
帖子: 111
在线: 52.4小时
虫号: 1745706
注册: 2012-04-09
【答案】应助回帖
★
感谢参与,应助指数 +1
vaughn: 金币+1, 认真应助
2012-12-26 10:15:17
Seems your X data not supported. It should work with:
12 19.8
24 27.9
36 32.2
48 33.4
60 33.2
72 33
84 33.3
90 33.05
赞
一下
(1人)
回复此楼
2楼
2012-12-24 09:26:09
已阅
回复此楼
关注TA
给TA发消息
送TA红花
TA的回帖
zhurock
木虫
(小有名气)
应助: 4
(幼儿园)
金币: 4627.2
红花: 1
帖子: 137
在线: 20.2小时
虫号: 1818062
注册: 2012-05-15
专业: 岩土与基础工程
【答案】应助回帖
感谢参与,应助指数 +1
按上楼如此可以的
赞
一下
回复此楼
3楼
2012-12-25 10:06:48
已阅
回复此楼
关注TA
给TA发消息
送TA红花
TA的回帖
124685887
至尊木虫
(职业作家)
黄河水利委员会会长
EEPI: 7
应助: 536
(博士)
贵宾: 0.997
金币: 16084.8
散金: 947
红花: 52
沙发: 10
帖子: 4967
在线: 537.6小时
虫号: 1130044
注册: 2010-10-23
专业: 环境化学
【答案】应助回帖
★
感谢参与,应助指数 +1
vaughn: 金币+1, 积极应助
2012-12-26 10:15:31
数据处理过程中尽量不要把单位带进去。因为数据处理软件识别数字的能力较弱,你把单位带进去它就容易出现问题。
赞
一下
回复此楼
黄委会-------时刻关注着母亲河的安危!
4楼
2012-12-25 10:40:28
已阅
回复此楼
关注TA
给TA发消息
送TA红花
TA的回帖
尚玲玲好
金虫
(小有名气)
应助: 29
(小学生)
金币: 901.7
红花: 1
帖子: 129
在线: 201.1小时
虫号: 1744988
注册: 2012-04-09
性别:
MM
专业: 金属有机化学
【答案】应助回帖
★
感谢参与,应助指数 +1
vaughn: 金币+1, 积极帮助
2012-12-26 10:15:44
同意楼上,在拟合过程中尽量不带单位,多尝试几次就行了
赞
一下
回复此楼
社会不同情平庸的弱者,生活不相信低价的眼泪!
5楼
2012-12-26 09:00:05
已阅
回复此楼
关注TA
给TA发消息
送TA红花
TA的回帖
相关版块跳转
有机交流
有机资源
高分子
无机/物化
分析
催化
工艺技术
化工设备
石油化工
精细化工
电化学
环境
SciFinder/Reaxys
我要订阅楼主
凡cool
的主题更新
5
1/1
返回列表
如果回帖内容含有宣传信息,请如实选中。否则帐号将被全论坛禁言
普通表情
龙
兔
虎
猫
百度网盘
|
360云盘
|
千易网盘
|
华为网盘
在新窗口页面中打开自己喜欢的网盘网站,将文件上传后,然后将下载链接复制到帖子内容中就可以了。
信息提示
关闭
请填处理意见
关闭
确定