Znn3bq.jpeg
ÉÇÍ·´óѧº£Ñó¿ÆÑ§½ÓÊܵ÷¼Á
²é¿´: 393  |  »Ø¸´: 1

baiyunru

гæ (СÓÐÃûÆø)

[ÇóÖú] Çó¸ßÊÖÖ¸µã лл

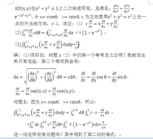
ÎÒÄÜ×ö³öÀ´µÄÖ»ÓÐÕâô¶àÁË£¬Çó¸ßÊÖÖ¸µã£¬ÂíÉϾͿ¼ÊÔÁË£¡£¡£¡Ð»Ð»

12.jpg



----.jpg
»Ø¸´´ËÂ¥

» ²ÂÄãϲ»¶

» ±¾Ö÷ÌâÏà¹Ø¼ÛÖµÌùÍÆ¼ö£¬¶ÔÄúͬÑùÓаïÖú:

youaremysunshine.tryyourbestangela
ÒÑÔÄ   »Ø¸´´ËÂ¥   ¹Ø×¢TA ¸øTA·¢ÏûÏ¢ ËÍTAºì»¨ TAµÄ»ØÌû

sunyuanxin

½û³æ (ÖøÃûдÊÖ)

±¾ÌûÄÚÈݱ»ÆÁ±Î

2Â¥2013-01-06 21:29:27
ÒÑÔÄ   »Ø¸´´ËÂ¥   ¹Ø×¢TA ¸øTA·¢ÏûÏ¢ ËÍTAºì»¨ TAµÄ»ØÌû
Ïà¹Ø°æ¿éÌø×ª ÎÒÒª¶©ÔÄÂ¥Ö÷ baiyunru µÄÖ÷Ìâ¸üÐÂ
×î¾ßÈËÆøÈÈÌûÍÆ¼ö [²é¿´È«²¿] ×÷Õß »Ø/¿´ ×îºó·¢±í
[¿¼ÑÐ] ҩѧÇóµ÷¼Á +11 à¶¹þ¼ÓÓÍ 2026-04-14 13/650 2026-04-14 21:14 by qingfeng258
[¿¼ÑÐ] 272·Ö²ÄÁÏ×ÓÇóµ÷¼Á +41 Loy0361 2026-04-10 54/2700 2026-04-14 18:00 by lhj2009
[¿¼ÑÐ] 297¹¤¿Æµ÷¼Á? +13 ºÓÄÏũҵ´óѧ-ÄÜ 2026-04-13 13/650 2026-04-14 16:46 by Art1977
[¿¼ÑÐ] 297Çóµ÷¼Á +23 ORCHID1 2026-04-10 26/1300 2026-04-14 13:52 by ³ÂƤƤ
[¿¼ÑÐ] 085600²ÄÁÏÓ뻯¹¤329·ÖÇóµ÷¼Á +24 Ò¶zilin 2026-04-13 25/1250 2026-04-14 09:20 by ÊÔ¹ÜÆÆÁÑ
[¿¼ÑÐ] 332Çóµ÷¼Á +15 ½¶½¶123 2026-04-10 15/750 2026-04-13 23:12 by pies112
[¿¼ÑÐ] Ò»Ö¾Ô¸ÖÐÄÏ´óѧ 0855 »úе 286 Çóµ÷¼Á +11 ²»»á³ÔÈâ 2026-04-12 11/550 2026-04-13 21:59 by bljnqdcc
[¿¼ÑÐ] 293Çóµ÷¼Á +16 ÎÒ°®¸ßÊý¸ßÊý°®Î 2026-04-12 18/900 2026-04-13 21:47 by ѧԱJpLReM
[¿¼ÑÐ] 302Çóµ÷¼Á +10 Ò×£¡? 2026-04-13 10/500 2026-04-13 19:04 by lbsjt
[¿¼ÑÐ] Ò»Ö¾Ô¸085802 323·ÖÇóµ÷¼Á +13 drizzle_9 2026-04-12 14/700 2026-04-13 10:26 by Faiz5552
[¿¼ÑÐ] ²ÄÁÏÓ뻯¹¤300Çóµ÷¼Á +39 Ф¿ªÎÄ 2026-04-09 43/2150 2026-04-12 01:30 by Çï¶¹²ËÑ¿
[¿¼ÑÐ] 284Çóµ÷¼Á +11 archer.. 2026-04-09 12/600 2026-04-11 20:23 by À¶ÔÆË¼Óê
[¿¼ÑÐ] 0854µ÷¼Á +8 950824he@ 2026-04-09 8/400 2026-04-11 10:11 by zhq0425
[¿¼ÑÐ] 289 ·Ö105500ҩѧר˶Çóµ÷¼Á(ÕÒBÇøÑ§Ð£) +6 °×ÔÆ123456789 2026-04-09 8/400 2026-04-10 21:13 by zhouxiaoyu
[¿¼ÑÐ] 368Çóµ÷¼Á +3 17385968172 2026-04-10 3/150 2026-04-10 20:12 by µç×Ӱµ±ë
[¿¼ÑÐ] ÖпÆÔº×Ü·Ö315Çóµ÷¼Á +8 lallalh 2026-04-09 8/400 2026-04-10 19:30 by dick_runner
[¿¼ÑÐ] »úеר368 ÓÐÈ¥´¦Âð +4 ÖÖ´óÊ÷ 2026-04-10 4/200 2026-04-10 15:31 by jiajinhpu
[¿¼ÑÐ] 282£¬µçÆø¹¤³Ìרҵ£¬Çóµ÷¼Á£¬²»Ìôרҵ +9 jggshjkkm 2026-04-10 9/450 2026-04-10 14:55 by ÄæË®³Ë·ç
[¿¼ÑÐ] 086004 Çóµ÷¼Á 309 +7 Yin DY 2026-04-08 7/350 2026-04-09 13:59 by Delta2012
[¿¼ÑÐ] 085801 ×Ü·Ö275 ±¾¿ÆÐÂÄÜÔ´ Çóµ÷¼Á +8 bradoner 2026-04-08 9/450 2026-04-09 13:43 by onlyÖÜ
ÐÅÏ¢Ìáʾ
ÇëÌî´¦ÀíÒâ¼û