| 查看: 10326 | 回复: 0 | ||
人工智能木虫 (著名写手)
|
[求助]
【统计误差参数计算】计算R-square(确定系数)时怎么证明SST=SSE+SSR
|
|
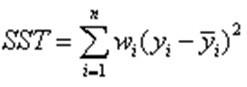
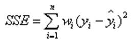
SSE(和方差、误差平方和):The sum of squares due to error 该统计参数计算的是拟合数据和原始数据对应点的误差的平方和,计算公式如下 SSR:Sum of squares of the regression,即预测数据与原始数据均值之差的平方和,公式如下 SST:Total sum of squares,即原始数据和均值之差的平方和,公式如下 请问怎么证明SST=SSE+SSR? 我怎么看不出来啊? [ 来自科研家族 人工智能 ] |
» 猜你喜欢
一志愿西安交通大学材料工程专业 282分求调剂
已经有13人回复
北科281学硕材料求调剂
已经有6人回复
328求调剂,英语六级551,有科研经历
已经有10人回复
298求调剂
已经有6人回复
310求调剂
已经有4人回复
311求调剂
已经有6人回复
307求调剂
已经有11人回复
材料与化工085600,总分304,本科有两篇sci参与,求调剂
已经有5人回复
315分,诚求调剂,材料与化工085600
已经有3人回复
求调剂一志愿海大,0703化学学硕304分,有大创项目,四级已过
已经有10人回复
找到一些相关的精华帖子,希望有用哦~
科研从小木虫开始,人人为我,我为人人













回复此楼
点击这里搜索更多相关资源