24小时热门版块排行榜    

Znn3bq.jpeg
查看: 1938  |  回复: 0

yrm24

新虫 (初入文坛)

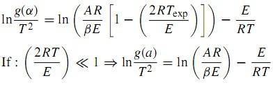
[交流] 关于求指前因子

各位虫友们,应用等转化率法得到活化能后,计算指前因子的方法:根据LnAj=c+d*Ej,通过coast-redfern代人各种模型得到c和d值。将得到的活化能Ea代替Ej从而得到A。手动计算都是这样算么?
c跟d值是通过代人各种模型拟合直线得到的,活化能是来解释机理的,那求指前因子的意义是什么呢?

coast-redfern.jpg
回复此楼

» 猜你喜欢

已阅   回复此楼   关注TA 给TA发消息 送TA红花 TA的回帖

智能机器人

Robot (super robot)

我们都爱小木虫

找到一些相关的精华帖子,希望有用哦~

科研从小木虫开始,人人为我,我为人人
相关版块跳转 我要订阅楼主 yrm24 的主题更新
普通表情 高级回复 (可上传附件)
最具人气热帖推荐 [查看全部] 作者 回/看 最后发表
[基金申请] 今年审到国自然15份,谈谈感受 +17 国自然国社科中 2026-05-17 18/900 2026-05-20 00:03 by kksky
[考博] 26/27博士推荐 +4 1木头人13949 2026-05-13 5/250 2026-05-19 23:41 by 1木头人13949
[教师之家] 上海大学实验技术岗位非升即走 +11 嘻嘻哈哈乐呵呵 2026-05-15 12/600 2026-05-19 22:17 by otani
[有机交流] 如何实现卤原子转化 +3 BT20230424 2026-05-15 7/350 2026-05-19 19:23 by bencaidai
[有机交流] 反应很差,大量原料没有反应 5+3 Mr.Zot 2026-05-19 3/150 2026-05-19 13:56 by xtlilibin
[论文投稿] Sci. Bull. 悲剧经验 +4 jyang1999 2026-05-16 4/200 2026-05-19 10:56 by maolC
[考博] 26/27申博自荐-锂/钠电池方向 5+3 狗头军师. 2026-05-15 4/200 2026-05-19 09:10 by moonboat
[基金申请] 同样的基金本子,换个专家直接从C变A! +3 国自然国社科中 2026-05-19 3/150 2026-05-19 08:50 by Equinoxhua
[基金申请] 别被青基扩招骗了!26年科研内卷才刚刚开始 +3 国自然国社科中 2026-05-14 4/200 2026-05-19 08:48 by archvillain
[考博] 博士申请 +5 星…… 2026-05-18 6/300 2026-05-18 23:49 by 糊糊涂涂好
[硕博家园] 考博自荐 +5 科研狗111 2026-05-13 6/300 2026-05-18 11:22 by 糊糊涂涂好
[基金申请] 青C资助名额大幅增加! +12 西葫芦炒鸡蛋 2026-05-13 16/800 2026-05-18 10:02 by Equinoxhua
[基金申请] 重磅!青年科学基金项目(C类)资助增幅预计超过50% +7 水和泥不是水泥 2026-05-13 10/500 2026-05-18 07:50 by 水和泥不是水泥
[文学芳草园] 半夜喝咖啡 +3 myrtle 2026-05-15 5/250 2026-05-18 01:03 by 小沈2018
[考博] 光量子物理方向 博士招生 1人(2026.09) +3 sandyworld 2026-05-15 4/200 2026-05-17 14:38 by sandyworld
[有机交流] 求助2,4-二氯-5-嘧啶甲醛的合成方法 20+3 光吃不拉 2026-05-14 6/300 2026-05-16 19:46 by Equinoxhua
[有机交流] 求有机合成大神指点三硫酸乙烯酯(CAS:2793408-99-6)的合成路线 30+3 Leekmid 2026-05-13 10/500 2026-05-16 16:37 by czyzsu
[硕博家园] 申请博士 +3 呃?呃 2026-05-15 3/150 2026-05-16 11:01 by a4742549
[教师之家] 教学课件你会给同学吗 +8 硕士研究生吗 2026-05-13 8/400 2026-05-14 22:23 by 常规沥青
[考博] 26应届毕业生考博求助 +3 wo一定上岸 2026-05-13 3/150 2026-05-14 21:47 by 明海天涯
信息提示
请填处理意见