| ²é¿´: 790 | »Ø¸´: 6 | |||
aibqľ³æ (ÕýʽдÊÖ)
|
[ÇóÖú]
ÇóÖú»ý·Ö
|
|
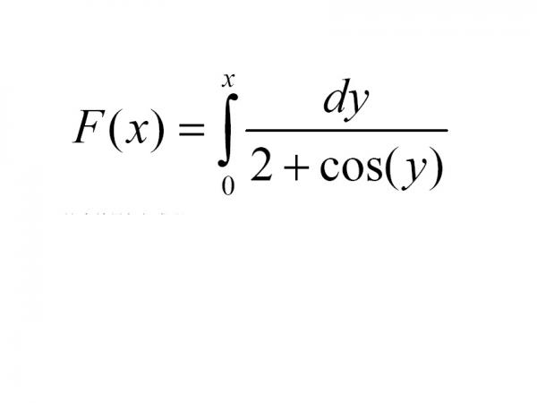
Çë½ÌÏÂÃæ»ý·ÖÈçºÎ×ö? ½á¹ûºÍÊýÖµµÄ×ÜÊǶԲ»ÉÏ., лл! »ý·Ö.jpg [ Last edited by aibq on 2012-11-14 at 09:53 ] |
» ÊÕ¼±¾ÌûµÄÌÔÌûר¼ÍƼö
»òÐíÒÔºóÓÐÓÃ |
» ²ÂÄãϲ»¶
Ò»Ö¾Ô¸¹þ¶û±õ¹¤Òµ´óѧ²ÄÁÏÓ뻯¹¤·½Ïò336·Ö
ÒѾÓÐ5È˻ظ´
0856²ÄÁÏ»¯¹¤µ÷¼Á ×Ü·Ö330
ÒѾÓÐ9È˻ظ´
085602 »¯¹¤×¨Ë¶ 338·Ö Çóµ÷¼Á
ÒѾÓÐ9È˻ظ´
352·Ö »¯¹¤Óë²ÄÁÏ
ÒѾÓÐ4È˻ظ´
Çóµ÷¼Á
ÒѾÓÐ8È˻ظ´
²ÄÁÏÇóµ÷¼Á Ò»Ö¾Ô¸¹þ¹¤´ó×Ü·Ö298·Ö£¬Ç°Èý¿Æ223·Ö
ÒѾÓÐ3È˻ظ´
²ÄÁÏÇóµ÷¼ÁÒ»Ö¾Ô¸¹þ¹¤´ó324
ÒѾÓÐ4È˻ظ´
085600 286·Ö ²ÄÁÏÇóµ÷¼Á
ÒѾÓÐ4È˻ظ´
Çóµ÷¼Á
ÒѾÓÐ7È˻ظ´
275Çóµ÷¼Á
ÒѾÓÐ10È˻ظ´
chembetsey
ľ³æ (СÓÐÃûÆø)
- Ó¦Öú: 125 (¸ßÖÐÉú)
- ½ð±Ò: 3820.1
- É¢½ð: 5
- ºì»¨: 9
- Ìû×Ó: 262
- ÔÚÏß: 281.8Сʱ
- ³æºÅ: 1781694
- ×¢²á: 2012-04-27
- רҵ: ÀíÂۺͼÆË㻯ѧ
¡¾´ð°¸¡¿Ó¦Öú»ØÌû
¡ï ¡ï ¡ï ¡ï ¡ï
¸Ðл²ÎÓ룬ӦÖúÖ¸Êý +1
aibq: ½ð±Ò+5 2012-11-18 12:58:48
¸Ðл²ÎÓ룬ӦÖúÖ¸Êý +1
aibq: ½ð±Ò+5 2012-11-18 12:58:48
|
http://www.wolframalpha.com/input/?i=int+1%2F%282%2Bcos%28x%29%29 ¼òµ¥µÄ»ý·ÖºÎ±Øµ½ÕâÀïÀ´ÎÊ£¿ |
2Â¥2012-11-14 10:55:19
aibq
ľ³æ (ÕýʽдÊÖ)
- Ó¦Öú: 0 (Ó×¶ùÔ°)
- ½ð±Ò: 2165.8
- É¢½ð: 50
- ºì»¨: 1
- Ìû×Ó: 961
- ÔÚÏß: 1747.9Сʱ
- ³æºÅ: 355885
- ×¢²á: 2007-04-25
- ÐÔ±ð: GG
- רҵ: »ù´¡ÎïÀíѧ
3Â¥2012-11-14 11:22:50
chembetsey
ľ³æ (СÓÐÃûÆø)
- Ó¦Öú: 125 (¸ßÖÐÉú)
- ½ð±Ò: 3820.1
- É¢½ð: 5
- ºì»¨: 9
- Ìû×Ó: 262
- ÔÚÏß: 281.8Сʱ
- ³æºÅ: 1781694
- ×¢²á: 2012-04-27
- רҵ: ÀíÂۺͼÆË㻯ѧ
4Â¥2012-11-14 11:37:32
09211034
ͳæ (СÓÐÃûÆø)
- Ó¦Öú: 5 (Ó×¶ùÔ°)
- ½ð±Ò: 230.8
- É¢½ð: 2
- Ìû×Ó: 133
- ÔÚÏß: 10.6Сʱ
- ³æºÅ: 2077863
- ×¢²á: 2012-10-22
- רҵ: Ô˳ïѧ

5Â¥2012-11-14 23:18:08
archdevil
Ìú¸Ëľ³æ (ÕýʽдÊÖ)
- ÊýѧEPI: 1
- Ó¦Öú: 49 (СѧÉú)
- ½ð±Ò: 7302.5
- É¢½ð: 1
- ºì»¨: 1
- Ìû×Ó: 448
- ÔÚÏß: 339.7Сʱ
- ³æºÅ: 505325
- ×¢²á: 2008-02-17
- ÐÔ±ð: GG
- רҵ: ģʽʶ±ð
¡¾´ð°¸¡¿Ó¦Öú»ØÌû
¡ï ¡ï ¡ï ¡ï ¡ï ¡ï ¡ï ¡ï ¡ï ¡ï
¸Ðл²ÎÓ룬ӦÖúÖ¸Êý +1
aibq: ½ð±Ò+10 2012-11-18 12:59:03
¸Ðл²ÎÓ룬ӦÖúÖ¸Êý +1
aibq: ½ð±Ò+10 2012-11-18 12:59:03
|
3¥˵µÄ»ù±¾ÕýÈ·¡£ÔÚ×öÕâ¸ö¼ÆËãʱ£¬Í¨¹ý±äÁ¿´ú»»£ºy=2arctan(t),¿ÉÇó³ö1Â¥¸ø³öµÄ½â£¬µ«×¢Ò⣺Õâ¸ö±äÁ¿´ú»»ÖбØÐëÒªarctan(t)ÓÐÖµÓò£¨-pi/2,pi/2£©,¼´±äÁ¿´ú»»Ö»ÔÚyÊôÓÚÇø¼ä(-pi,pi)ʱÓÐЧ¡£ µ«ÊÇÈç¹û»ý·ÖµÄÉÏÏÞûÓÐÂäÔÚ(-pi,pi)Ö®ÄÚÔõô°ìÄØ£¿±ÈÈçx=2pi£¬´Ëʱ¿ÉÒÔ½«Çø¼ä·Ö³É£¨0£¬pi£©ºÍ(pi,2pi),ÔÚ(0,pi)ÉÏÕý³£»ý·ÖµÃpi/sqrt(3)£¬¶øÔÚ£¨pi£¬2pi£©ÉÏͨ¹ý±äÁ¿´ú»»:y=2pi-x,½«Çø¼ä±ä³É(0,pi),¶ø±»»ýº¯ÊýÐÎʽ²»±ä£¬´Ó¶øÒ²¿ÉÕý³£»ý·ÖÁË¡£Í¨¹ýÕâÖÖ°ì·¨¿ÉÒÔÀàÍÆµÃ×îºóµÄ½á¹ûΪ£ºµ±xÊôÓÚ((2n-1)*pi,(2n+1)*pi)ʱ 2n*pi/sqrt(3)+F(t), ÕâÀïF(t)¾ÍÊÇ1Â¥¸ø³öµÄÔº¯ÊýÁîc=0£¬t=x-2n*pi¡£ ÕâÀïµÄ¹Ø¼üÊÇ£ºÓÉÓÚ±»»ýº¯ÊýÁ¬Ðø£¬¹ÊÒ»¶¨ÓÐÔº¯Êý£¬ÇÒÓÉÓÚÔº¯Êý¿É΢£¬¹ÊÔº¯Êý±Ø¶¨Á¬Ðø¡£ÏÔÈ»1Â¥¸ø³öµÄÔº¯ÊýÔÚx=£¨2n-1£©*pi´¦ÊǼä¶ÏµÄ£¬´Ó¶ø²»¿É΢¡£½â¾öÕâ¸öÎÊÌâµÄ°ì·¨¾ÍÊÇͨ¹ýµ÷Õû»ý·Ö³£ÊýCʹµÃÔº¯ÊýÁ¬Ðø£¬±¾ÌâÖеij£ÊýC=2n*pi/sqrt(3),¶ønÊÇÒ»¸öºÍxÏà¹ØµÄÊý£¬ÕâÑùÔº¯Êý¾ÍÁ¬ÐøÁË¡£ |

6Â¥2012-11-15 03:27:17
aibq
ľ³æ (ÕýʽдÊÖ)
- Ó¦Öú: 0 (Ó×¶ùÔ°)
- ½ð±Ò: 2165.8
- É¢½ð: 50
- ºì»¨: 1
- Ìû×Ó: 961
- ÔÚÏß: 1747.9Сʱ
- ³æºÅ: 355885
- ×¢²á: 2007-04-25
- ÐÔ±ð: GG
- רҵ: »ù´¡ÎïÀíѧ
7Â¥2012-11-18 13:02:28














»Ø¸´´ËÂ¥