| ²é¿´: 2692 | »Ø¸´: 10 | ||
csu_lxc½ð³æ (ÕýʽдÊÖ)
|
[ÇóÖú]
ÈçºÎ¼ÆËãµÂ°Ýº¯Êý£¿ÇóÖú
|
|
|
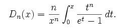
ÈçºÎ¼ÆËãµÂ°Ýº¯Êý£¬ µÂ°Ýº¯Êý.jpgÓÃʲôÈí¼þ£¬Ôõô¼ÆË㣿ÇóÖú¸ßÊÖ£¬Ð»Ð»ÁË£¡ n=3£¬xΪ±äÁ¿£¬ÒªµÃµ½D(x)µÄÖµ... [ Last edited by csu_lxc on 2012-10-31 at 15:59 ] |
» ²ÂÄãϲ»¶
081700£¬311£¬Çóµ÷¼Á
ÒѾÓÐ15È˻ظ´
Ò»Ö¾Ô¸±±¾©»¯¹¤085600 310·ÖÇóµ÷¼Á
ÒѾÓÐ18È˻ظ´
085600²ÄÁÏÓ뻯¹¤301·ÖÇóµ÷¼ÁԺУ
ÒѾÓÐ4È˻ظ´
²ÄÁÏÓ뻯¹¤371Çóµ÷¼Á
ÒѾÓÐ14È˻ظ´
336²ÄÁÏÓ뻯¹¤085600Çóµ÷¼Á
ÒѾÓÐ7È˻ظ´
²ÄÁÏ334Çóµ÷¼Á
ÒѾÓÐ18È˻ظ´
331Çóµ÷¼Á
ÒѾÓÐ8È˻ظ´
332Çóµ÷¼Á
ÒѾÓÐ17È˻ظ´
Ò»Ö¾Ô¸ÄϾ©º½¿Õº½Ìì´óѧ ²ÄÁÏÓ뻯¹¤329·ÖÇóµ÷¼Á
ÒѾÓÐ4È˻ظ´
²ÄÁÏר˶322
ÒѾÓÐ7È˻ظ´
» ±¾Ö÷ÌâÏà¹Ø¼ÛÖµÌùÍÆ¼ö£¬¶ÔÄúͬÑùÓаïÖú:
ÇóÖú ÀûÓõ¯ÐÔ³£Êý¼ÆËãµÂ°ÝζÈÇó½â
ÒѾÓÐ55È˻ظ´
ÇóÖú Origin ×Ô¶¨Ò庯ÊýÊäÈëÎÊÌâ
ÒѾÓÐ4È˻ظ´
¡¾ÇóÖú¡¿ÔõÑùÓɾ¶Ïò·Ö²¼º¯Êý¼ÆËãÅäλÊý
ÒѾÓÐ3È˻ظ´
¡¾ÇóÖú¡¿ÇóÖú£¬ÈçºÎ¼ÆËãÒºÌå100¸öÔ×ÓµÄË«Ìå·Ö²¼º¯Êý
ÒѾÓÐ4È˻ظ´
¡¾ÇóÖú¡¿¹ØÓÚ׼гµÂ°ÝÄ£¼ÆËãÈÈÁ¦Ñ§ÐÔÖÊ£¬ÇëÇó°ïÖú£¡£¡
ÒѾÓÐ6È˻ظ´
¡¾ÇóÖú¡¿wannierº¯ÊýÔÚʵ¼Ê¼ÆËãÖÐÓÐÄÇЩӦÓÃÄØ£¿
ÒѾÓÐ7È˻ظ´
¡¾ÇóÖú³É¹¦¡¿supercellÖÐDOS¼ÆËãÈçºÎµÃµ½ºÏÀíµÄµçºÉÃܶȺͲ¨º¯Êý£¿
ÒѾÓÐ3È˻ظ´
¡¾ÇóÖú¡¿ÈçºÎͬʱÄâºÏÁ½ÌõÇúÏß»òÕßÁ½¸öº¯Êý£¡¡¾Òѽâ¾ö¡¿
ÒѾÓÐ7È˻ظ´
¡¾ÇóÖú¡¿Çë½Ìms5.0Öй¦º¯Êý¼ÆËãÎÊÌâ
ÒѾÓÐ6È˻ظ´
¡¾ÇóÖú¡¿Fukuiº¯ÊýµÄ¼ÆËã
ÒѾÓÐ4È˻ظ´
¡¾ÇóÖú¡¿castepÀïÃæÎ¶ÈÉèÖÃ
ÒѾÓÐ16È˻ظ´
huow005
ÖÁ×ðľ³æ (СÓÐÃûÆø)
- Ó¦Öú: 23 (СѧÉú)
- ½ð±Ò: 16902.5
- ºì»¨: 4
- Ìû×Ó: 112
- ÔÚÏß: 345.5Сʱ
- ³æºÅ: 84749
- ×¢²á: 2005-08-05
|
A[x_] :=NIntegrate[t^3/(Exp[t] - 1), {t, 0, x}] *¶¨Ò庯Êý,* data1 = Table[{A[x], x}, {x, 0.001, 3, 0.02}] *ȡֵ, 0.001~3, ¼ä¸ô0.02.* ListPlot[data1] *×öͼ* Ò²¿ÉÓà A[x_] :=Integrate[t^3/(Exp[t] - 1), {t, 0, x}] data1 = Table[{Re[A[x]], x}, {x, 0.001, 3, 0.02}] ListPlot[data1] |

7Â¥2012-11-01 16:25:37
huow005
ÖÁ×ðľ³æ (СÓÐÃûÆø)
- Ó¦Öú: 23 (СѧÉú)
- ½ð±Ò: 16902.5
- ºì»¨: 4
- Ìû×Ó: 112
- ÔÚÏß: 345.5Сʱ
- ³æºÅ: 84749
- ×¢²á: 2005-08-05

2Â¥2012-10-31 23:13:20
csu_lxc
½ð³æ (ÕýʽдÊÖ)
- Ó¦Öú: 1 (Ó×¶ùÔ°)
- ½ð±Ò: 755.3
- ºì»¨: 1
- Ìû×Ó: 862
- ÔÚÏß: 592.3Сʱ
- ³æºÅ: 1271492
- ×¢²á: 2011-04-20
- ÐÔ±ð: GG
- רҵ: ½ðÊô²ÄÁϵÄÖÆ±¸¿ÆÑ§Óë¿çѧ
3Â¥2012-11-01 08:34:49
walk1997
½ð³æ (ÖøÃûдÊÖ)
- ÎïÀíEPI: 1
- Ó¦Öú: 1 (Ó×¶ùÔ°)
- ½ð±Ò: 4676.2
- ºì»¨: 22
- Ìû×Ó: 1066
- ÔÚÏß: 798.1Сʱ
- ³æºÅ: 416039
- ×¢²á: 2007-06-29
- ÐÔ±ð: GG
- רҵ: Á£×ÓÎïÀíѧºÍ³¡ÂÛ
4Â¥2012-11-01 12:35:01
walk1997
½ð³æ (ÖøÃûдÊÖ)
- ÎïÀíEPI: 1
- Ó¦Öú: 1 (Ó×¶ùÔ°)
- ½ð±Ò: 4676.2
- ºì»¨: 22
- Ìû×Ó: 1066
- ÔÚÏß: 798.1Сʱ
- ³æºÅ: 416039
- ×¢²á: 2007-06-29
- ÐÔ±ð: GG
- רҵ: Á£×ÓÎïÀíѧºÍ³¡ÂÛ
5Â¥2012-11-01 12:36:07
csu_lxc
½ð³æ (ÕýʽдÊÖ)
- Ó¦Öú: 1 (Ó×¶ùÔ°)
- ½ð±Ò: 755.3
- ºì»¨: 1
- Ìû×Ó: 862
- ÔÚÏß: 592.3Сʱ
- ³æºÅ: 1271492
- ×¢²á: 2011-04-20
- ÐÔ±ð: GG
- רҵ: ½ðÊô²ÄÁϵÄÖÆ±¸¿ÆÑ§Óë¿çѧ
|
ллÄãµÄ»Ø¸´£¬Ã²ËÆÈ·ÊµÒªÕâô¼ÆË㣬ÎÒÖ»ÊDz»»áÓÃÕâ¸öÈí¼þ http://mathworld.wolfram.com/DebyeFunctions.html ÎÒÒªÊäÈëһϵÁÐÊý½øÈ¥£¬µÃµ½Ò»ÏµÁÐÊý£¬0 |
6Â¥2012-11-01 15:55:59
huow005
ÖÁ×ðľ³æ (СÓÐÃûÆø)
- Ó¦Öú: 23 (СѧÉú)
- ½ð±Ò: 16902.5
- ºì»¨: 4
- Ìû×Ó: 112
- ÔÚÏß: 345.5Сʱ
- ³æºÅ: 84749
- ×¢²á: 2005-08-05

8Â¥2012-11-01 16:29:19
csu_lxc
½ð³æ (ÕýʽдÊÖ)
- Ó¦Öú: 1 (Ó×¶ùÔ°)
- ½ð±Ò: 755.3
- ºì»¨: 1
- Ìû×Ó: 862
- ÔÚÏß: 592.3Сʱ
- ³æºÅ: 1271492
- ×¢²á: 2011-04-20
- ÐÔ±ð: GG
- רҵ: ½ðÊô²ÄÁϵÄÖÆ±¸¿ÆÑ§Óë¿çѧ
9Â¥2012-11-01 22:13:27
csu_lxc
½ð³æ (ÕýʽдÊÖ)
- Ó¦Öú: 1 (Ó×¶ùÔ°)
- ½ð±Ò: 755.3
- ºì»¨: 1
- Ìû×Ó: 862
- ÔÚÏß: 592.3Сʱ
- ³æºÅ: 1271492
- ×¢²á: 2011-04-20
- ÐÔ±ð: GG
- רҵ: ½ðÊô²ÄÁϵÄÖÆ±¸¿ÆÑ§Óë¿çѧ
10Â¥2012-11-01 22:13:50














»Ø¸´´ËÂ¥
csu_lxc