24小时热门版块排行榜    

Znn3bq.jpeg
查看: 854  |  回复: 4

小欣518

木虫 (小有名气)

[求助] 请教关于吸附脱附曲线的分析

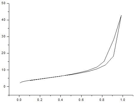
本人第一次进行吸附脱附及比表面积的测试,不会分析。请教各位以下这图可以读出什么信息?急用,求帮助!

NK%2SGS`TZZDK%FRQ~H6O[0.jpg
回复此楼

» 收录本帖的淘帖专辑推荐

表征与测试分析

» 猜你喜欢

» 本主题相关价值贴推荐,对您同样有帮助:

共同进步!
已阅   回复此楼   关注TA 给TA发消息 送TA红花 TA的回帖
2楼2012-10-24 08:14:31
已阅   回复此楼   关注TA 给TA发消息 送TA红花 TA的回帖

小欣518

木虫 (小有名气)

求各位帮忙啊
共同进步!
3楼2012-10-24 14:42:10
已阅   回复此楼   关注TA 给TA发消息 送TA红花 TA的回帖

zhenshimidu

铜虫 (小有名气)


【答案】应助回帖

★ ★ ★ ★ ★
感谢参与,应助指数 +1
小欣518: 金币+5, ★★★很有帮助 2012-10-26 15:19:53
1.图片所展现的图形为吸附脱附等温线;
2.从等温线型看,被测样品为非多孔材料,具有少量的介孔,比表面积应该不大于10㎡/g;
3.脱附之后环起止趋势均匀,说明是平行板狭缝孔型;
4.对于此类样品,应加大装样量,保证测试曲线比目前更加平滑;
5.具体的数据应用要根据你所做的实验目的选取
4楼2012-10-25 11:33:37
已阅   回复此楼   关注TA 给TA发消息 送TA红花 TA的回帖

小欣518

木虫 (小有名气)

引用回帖:
4楼: Originally posted by zhenshimidu at 2012-10-25 11:33:37
1.图片所展现的图形为吸附脱附等温线;
2.从等温线型看,被测样品为非多孔材料,具有少量的介孔,比表面积应该不大于10㎡/g;
3.脱附之后环起止趋势均匀,说明是平行板狭缝孔型;
4.对于此类样品,应加大装样量, ...

从图上怎么能看出比表面积,虽然比表面积不大,可确实超过10了。
共同进步!
5楼2012-10-26 15:27:11
已阅   回复此楼   关注TA 给TA发消息 送TA红花 TA的回帖
相关版块跳转 我要订阅楼主 小欣518 的主题更新
最具人气热帖推荐 [查看全部] 作者 回/看 最后发表
[基金申请] 评审有感 +7 popular289 2026-05-18 12/600 2026-05-19 05:02 by redmoonzpc
[考博] 云南大学材料与能源学院解琳课题组钙钛矿博士招生 +3 光伏爱好者 2026-05-17 4/200 2026-05-19 01:19 by 风起于浮萍
[基金申请] 国自然上会要求 +5 无名者登山 2026-05-18 9/450 2026-05-18 17:50 by BlakeReary
[基金申请] 重磅!青年科学基金项目(C类)资助增幅预计超过50% +7 水和泥不是水泥 2026-05-13 10/500 2026-05-18 07:50 by 水和泥不是水泥
[硕博家园] 我在等一个没有答案的答案 +3 Love_MH 2026-05-17 3/150 2026-05-18 02:22 by 竹林孤影
[找工作] 售SCI一区T0P文章,我:8.O.5.5.1.O.5.4,科目齐全,可+急 +4 ky2p12rrjj 2026-05-15 4/200 2026-05-17 19:47 by Equinoxhua
[硕博家园] 售SCI一区T0P文章,我:8.O.5.5.1.O.5.4,科目齐全,可+急 +6 l7k6xnh0yc 2026-05-14 7/350 2026-05-17 19:42 by Equinoxhua
[考研] 售SCI一区T0P文章,我:8.O.5.5.1.O.5.4,科目齐全,可+急 +4 xx7gd5zq4e 2026-05-15 6/300 2026-05-17 19:36 by Equinoxhua
[基金申请] 这年头没有找到涵评专家,还有中面上的可能吗 +13 dd921ww 2026-05-12 16/800 2026-05-17 12:38 by 于轩
[考博] 26/27博士推荐 +3 1木头人13949 2026-05-13 3/150 2026-05-17 09:41 by YuY66
[硕博家园] 售SCI一区T0P文章,我:8.O.5.5.1.O.5.4,科目齐全,可+急 +4 v9tggjlwd0 2026-05-15 4/200 2026-05-17 08:06 by 11n4dfd8yn
[考研] 售SCI一区T0P文章,我:8.O.5.5.1.O.5.4,科目齐全,可+急 +4 l7k6xnh0yc 2026-05-14 8/400 2026-05-17 07:26 by 11n4dfd8yn
[硕博家园] 售SCI一区T0P文章,我:8.O.5.5.1.O.5.4,科目齐全,可+急 +5 cjf4bx70cj 2026-05-14 7/350 2026-05-17 06:55 by 11n4dfd8yn
[考研] 售SCI一区T0P文章,我:8.O.5.5.1.O.5.4,科目齐全,可+急 +3 k37jurhrau 2026-05-16 3/150 2026-05-17 01:25 by ue3ir18jc3
[考博] 售SCI一区T0P文章,我:8.O.5.5.1.O.5.4,科目齐全,可+急 +3 ky2p12rrjj 2026-05-15 4/200 2026-05-17 00:57 by ue3ir18jc3
[考研] 售SCI一区T0P文章,我:8.O.5.5.1.O.5.4,科目齐全,可+急 +4 x0mp7owy2b 2026-05-15 4/200 2026-05-17 00:25 by ue3ir18jc3
[基金申请] 请问大佬b0816评完了吗 +4 市民华南虎 2026-05-12 8/400 2026-05-16 19:54 by Equinoxhua
[硕博家园] 申请博士 +3 呃?呃 2026-05-15 3/150 2026-05-16 11:01 by a4742549
[文学芳草园] 风把牡丹吹跑了 +5 myrtle 2026-05-12 9/450 2026-05-15 15:27 by myrtle
[论文投稿] 求助大佬sci投稿哪个好中 +3 江沅188 2026-05-12 4/200 2026-05-13 14:35 by 江沅188
信息提示
请填处理意见