| 查看: 2567 | 回复: 9 | ||
[求助]
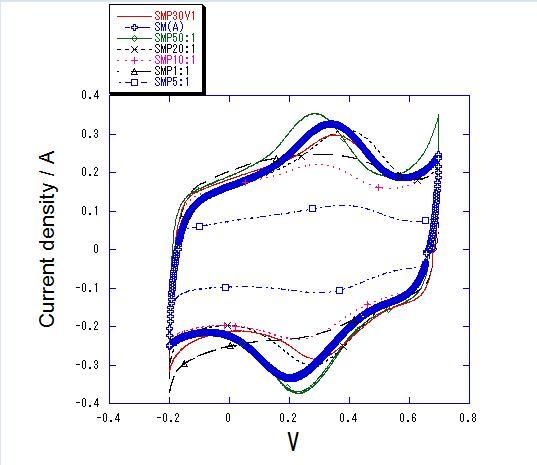
CV曲线的氧化峰为什么出现在不同的点位处 已有1人参与
|
|
这是不同试样的循环伏安曲线,为什么峰值对应的电压不同,从这个图能说明什么 我是刚学电化学分析的,对CV很不了解,求助一下大侠么,谢谢。能给个全面的分析的酒感激不尽。 360截图20121023145145683.jpg |
» 猜你喜欢
广西师范大学化学与药学学院杨秀林课题组2026年拟招收博士研究生1名
已经有25人回复
26年储能、电池方向博士申请
已经有1人回复
物理化学论文润色/翻译怎么收费?
已经有149人回复
求调剂,本科吉大,一志愿华工339
已经有2人回复
意大利博洛尼亚大学招聘研究助理2名(2D材料/锂离子与钠离子电池方向)
已经有1人回复
关于碳量子点抗菌的研究
已经有15人回复
南大化学调剂
已经有11人回复
硫酸钠溶液浓度与密度曲线
已经有0人回复
0703调剂
已经有2人回复
请教各位大佬,锌空电池电解液该投哪个口合适?
已经有10人回复
0703 调剂
已经有2人回复
» 本主题相关价值贴推荐,对您同样有帮助:
水系锂电CV曲线,为什么只有还原峰,没有氧化峰
已经有20人回复
Pt在硫酸中的CV曲线,为啥我的曲线头部峰特别尖锐呢?
已经有11人回复
我的循环伏安曲线中氧化物的还原峰为什么不明显?
已经有16人回复
我的循环伏安曲线(CV)为什么多出一个峰来
已经有25人回复
循环伏安法合成聚苯胺时,CV曲线上氧化还原电流增加,
已经有4人回复
【求助】CV氧化还原峰的确定
已经有19人回复
【求助】CV曲线中氢吸脱附峰电量的计算
已经有20人回复
【求助】CV的氧化还原峰
已经有7人回复
【求助】锂电负极材料氧化锡的CV曲线问题!
已经有5人回复
【求助】CV测试中氧化峰电位和还原峰电位的差值不断增大是怎么回事
已经有8人回复
【讨论】循环伏安曲线中的氧化峰位和还原峰位间的差值越大越有实际用途?
已经有12人回复

yanbo1986
铁杆木虫 (正式写手)
- ECEPI: 2
- 应助: 232 (大学生)
- 贵宾: 0.147
- 金币: 6720.6
- 散金: 116
- 红花: 19
- 帖子: 695
- 在线: 176.7小时
- 虫号: 855031
- 注册: 2009-09-23
- 性别: GG
- 专业: 电化学
2楼2012-10-23 14:07:17

3楼2012-10-23 15:37:38
yanbo1986
铁杆木虫 (正式写手)
- ECEPI: 2
- 应助: 232 (大学生)
- 贵宾: 0.147
- 金币: 6720.6
- 散金: 116
- 红花: 19
- 帖子: 695
- 在线: 176.7小时
- 虫号: 855031
- 注册: 2009-09-23
- 性别: GG
- 专业: 电化学
4楼2012-10-23 15:52:33

5楼2012-10-24 11:23:36

6楼2012-10-24 14:39:31

7楼2012-10-25 09:13:00
zhanjiang
木虫 (著名写手)
- 应助: 6 (幼儿园)
- 金币: 2352.7
- 散金: 2066
- 红花: 14
- 帖子: 1112
- 在线: 732.5小时
- 虫号: 1437205
- 注册: 2011-10-11
- 专业: 机械测试理论与技术
8楼2013-12-28 10:42:45
9楼2013-12-29 17:46:39
9559983
木虫 (正式写手)
- 应助: 20 (小学生)
- 金币: 3835.4
- 散金: 1003
- 红花: 6
- 帖子: 615
- 在线: 157.5小时
- 虫号: 963559
- 注册: 2010-03-07
- 性别: GG
- 专业: 电化学分析
10楼2015-06-06 10:13:32













回复此楼

50