| 查看: 348 | 回复: 2 | ||
[求助]
求助:二核co( 轨道贡献)磁性拟和,
|
|
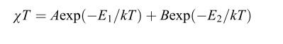
刚刚搞明白二核Ni的磁性拟和, 现在遇到Co的了,由于有轨道贡献,不知该如何下手。 1。在坛子和文献里有看到用下面的公式 也有用经验公式的 Q:这两个公式有何不同?所用的拟和程序一样么? 2。用MagSaki(A) 程序拟合时,相应的参数怎么设置?请高手帮忙。 3。或者是不是可以请高手帮忙拟和下二核Co化合物的磁性,我的曲线如图 无标题.jpg 2.jpg xt-t.JPG |
» 猜你喜欢
中南大学易小艺课题组诚招2026申请-考核制博士生
已经有0人回复
海南师范大学招收化学博士(光电功能材料课题组招收博士研究生)
已经有11人回复
无机化学论文润色/翻译怎么收费?
已经有264人回复
求助几个团簇的cif
已经有0人回复
急求该反应的详细机理
已经有5人回复
【Ei | Scopus 双检索】2026年智能交通与未来出行国际会议(CSTFM 2026)
已经有0人回复
【EI|Scopus 双检索】2026年第六届机器人与人工智能国际会议(JCRAI 2026)
已经有0人回复
zotero的advanced material模板没有更新,有人有新版的cls文件吗
已经有2人回复
【高校联合举办】2026年第五届服务机器人国际会议(ICoSR 2026)
已经有0人回复
» 本主题相关价值贴推荐,对您同样有帮助:
Co3Eu的磁性拟合
已经有15人回复
求助【线状三核Mn配合物】的磁性问题。100金币感谢应助者!
已经有14人回复
求单核Ni和1D和2D镍的磁性拟合公式
已经有18人回复
关于Co的磁性问题
已经有7人回复
【求助】Co原子磁矩如何计算
已经有4人回复
【求助】关于多酸化合物中双核铜的磁性-审稿意见的回复
已经有6人回复
【求助】三价Co的低自旋用不用考虑其磁结构?
已经有3人回复
【求助】顺磁性 的配合物 能做核磁共振吗
已经有5人回复
【求助】N-N桥联三核镍(锰)的磁性拟合公式
已经有3人回复
三核钴、镍磁性拟合公式
已经有60人回复


2楼2012-10-17 13:58:00

3楼2012-10-17 13:58:21













回复此楼
10