| ²é¿´: 2073 | »Ø¸´: 3 | |||
ming142007Ìú¸Ëľ³æ (Ö°Òµ×÷¼Ò)
»¯Ñ§°Ù¿Æ
|
[ÇóÖú]
¾§Ìå½âÎöºócheckcifÎļþÈçºÎ¿´·Ö×ÓʽºÍ½á¾§Ë®¡¢Åäλˮ£¬ÈÈÖØÊ§ÖØÅжÏ
|
ÎÒµÄ | ÊÕ²Ø |
» ²ÂÄãϲ»¶
¡¾2026 ¿¼Ñе÷¼Á¡¿¹þ¶û±õ¹¤³Ì´óѧºË¿ÆÑ§Óë¼¼ÊõѧԺºË»¯¹¤Ïµ ÕÐÊÕµ÷¼ÁÉú
ÒѾÓÐ1È˻ظ´
¹ãÖÝ´óѧ»·¾³´ó·Ö×Ó²ÄÁÏÑо¿Ëù2026ÄêÑо¿ÉúÕÐÉú¼òÕÂ
ÒѾÓÐ0È˻ظ´
ÎÞ»ú»¯Ñ§ÂÛÎÄÈóÉ«/·ÒëÔõôÊÕ·Ñ?
ÒѾÓÐ125È˻ظ´
Î人·ÄÖ¯´óѧ¼¼ÊõÑо¿ÔºÕÐÊÕ»¯Ñ§¡¢ÉúÎï¡¢²ÄÁÏ¡¢·ÄÖ¯¡¢»úеµÈרҵµ÷¼ÁÉú
ÒѾÓÐ0È˻ظ´
̨ÖÝѧԺÓÐÐò¶à¿×²ÄÁÏÍŶӻ¯Ñ§¡¢²ÄÁÏÓ뻯¹¤Ë¶Ê¿ÕÐÉú£¬ÇëËÙÁªÏµ£¡
ÒѾÓÐ0È˻ظ´
Ê×¶¼Ê¦·¶´óѧ»¯Ñ§ÏµÌïÑó¿ÎÌâ×éר˶Õе÷¼ÁÉú
ÒѾÓÐ10È˻ظ´
¹ãÖÝ´óѧ´óÍåÇø»·¾³Ñо¿Ôº»·¾³´ó·Ö×Ó²ÄÁÏÑо¿ËùÍõƽɽ½ÌÊÚÍÅ¶Ó 2026ÄêÑо¿ÉúÕÐÉú¼òÕÂ
ÒѾÓÐ0È˻ظ´
¹ãÖÝ´óѧ´óÍåÇø»·¾³Ñо¿Ôº»·¾³´ó·Ö×Ó²ÄÁÏÑо¿ËùÍõƽɽ½ÌÊÚÍÅ¶Ó 2026ÄêÑо¿ÉúÕÐÉú¼òÕÂ
ÒѾÓÐ0È˻ظ´
Ìì½òÀí¹¤´óѧ
ÒѾÓÐ0È˻ظ´
» ±¾Ö÷ÌâÏà¹ØÉ̼ÒÍÆ¼ö: (ÎÒÒ²ÒªÔÚÕâÀïÍÆ¹ã)
» ±¾Ö÷ÌâÏà¹Ø¼ÛÖµÌùÍÆ¼ö£¬¶ÔÄúͬÑùÓаïÖú:
TG ÈÈÖØ Ê§ÖØÂÊ Ôõô±ê
ÒѾÓÐ4È˻ظ´
cifÖзÖ×Óʽ²»ÊÇÕûÊýÓ¦¸ÃÔõôÈÃÊÇÕûÊýÄØ£¿
ÒѾÓÐ6È˻ظ´
Çó½â´ð£¬²»ÖªµÀÊÇ·ñ±»check
ÒѾÓÐ9È˻ظ´
ÌúÓ뺬ÓÐôÈ»ùµÄÅäÌåµÄÅäλ
ÒѾÓÐ5È˻ظ´
OLEX2½âÎö¾§Ìåʱcheck cif
ÒѾÓÐ8È˻ظ´
ÈÈÖØÇúÏß²»ÊÇ´Ó100¿ªÊ¼Ê§ÖØ£¬¿ÉÒÔÓÃÀ´¼ÆËãÂð
ÒѾÓÐ4È˻ظ´
¼±£¡¾§ÌåÖеĽᾧˮÊýÄ¿Óë·Ö×ÓʽµÄ²»·û
ÒѾÓÐ13È˻ظ´
ÈÈÊ§ÖØºÍcif²»ÎǺϣ¬Ð´ÎÄÕÂÓ¦¸ÃÔõô°ì£¿
ÒѾÓÐ3È˻ظ´
ÈÈÖØ·ÖÎöÖÐÊ§ÖØÇ°ÎªÊ²Ã´ÖÊÁ¿»áÔö¼Ó£¿
ÒѾÓÐ21È˻ظ´
ÈÈÊ§ÖØ·ÖÎöÖÐδ·Ö½âµÄÔÒò
ÒѾÓÐ10È˻ظ´
¡¾Çë½Ì¡¿ÅäºÏÎïÖнᾧˮµÄÊ§ÖØÎ¶È
ÒѾÓÐ8È˻ظ´
Ò»Í³ÍøÂç
Òø³æ (ÕýʽдÊÖ)
- Ó¦Öú: 5 (Ó×¶ùÔ°)
- ½ð±Ò: 620.2
- É¢½ð: 1235
- ºì»¨: 3
- Ìû×Ó: 367
- ÔÚÏß: 308.6Сʱ
- ³æºÅ: 1676367
- ×¢²á: 2012-03-08
- ÐÔ±ð: MM
- רҵ: Ò©ÀíѧÆäËû¿ÆÑ§ÎÊÌâ
¡¾´ð°¸¡¿Ó¦Öú»ØÌû
¡ï ¡ï ¡ï ¡ï ¡ï ¡ï ¡ï ¡ï ¡ï ¡ï ¡ï ¡ï ¡ï ¡ï ¡ï ¡ï ¡ï ¡ï ¡ï ¡ï ¡ï ¡ï ¡ï ¡ï ¡ï ¡ï ¡ï ¡ï ¡ï ¡ï ¡ï ¡ï ¡ï ¡ï ¡ï ¡ï ¡ï ¡ï ¡ï ¡ï ¡ï ¡ï ¡ï ¡ï ¡ï ¡ï ¡ï ¡ï ¡ï ¡ï ¡ï ¡ï ...
Сľ³æ: ½ð±Ò+0.5, ¸ø¸öºì°ü£¬Ð»Ð»»ØÌû
ming142007: ½ð±Ò+2 2012-10-07 21:20:59
lijunjie84: ½ð±Ò+1, ¸ÐлӦÖú£¡ 2012-10-07 22:49:02
lijunjie84: Ó¦ÖúÖ¸Êý+1 2012-10-07 22:49:08
ming142007: ½ð±Ò+48, ¡ïÓаïÖú 2012-10-14 09:01:35
Сľ³æ: ½ð±Ò+0.5, ¸ø¸öºì°ü£¬Ð»Ð»»ØÌû
ming142007: ½ð±Ò+2 2012-10-07 21:20:59
lijunjie84: ½ð±Ò+1, ¸ÐлӦÖú£¡ 2012-10-07 22:49:02
lijunjie84: Ó¦ÖúÖ¸Êý+1 2012-10-07 22:49:08
ming142007: ½ð±Ò+48, ¡ïÓаïÖú 2012-10-14 09:01:35
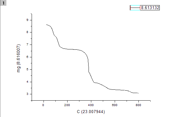
| ×ܹ²Ó¦¸ÃÊÇ31¸öË®·Ö×Ó°É£¬Æ½Ì¨Ó¦¸ÃÊÇʧȥ¾§¸ñË®µÄ |
2Â¥2012-10-07 21:19:25
luxtal
ÖÁ×ðľ³æ (Ö°Òµ×÷¼Ò)
- Ó¦Öú: 691 (²©Ê¿)
- ½ð±Ò: 13883.3
- ºì»¨: 50
- Ìû×Ó: 3005
- ÔÚÏß: 701.3Сʱ
- ³æºÅ: 2014485
- ×¢²á: 2012-09-19
- רҵ: ½á¹¹»¯Ñ§
¡¾´ð°¸¡¿Ó¦Öú»ØÌû
¡ï
¸Ðл²ÎÓ룬ӦÖúÖ¸Êý +1
linhua0402313: ½ð±Ò+1, ¸Ðл²ÎÓë»ØÌû½»Á÷£¬»¶Ó³£À´¾§Ìå°å¿é 2012-10-08 07:42:36
¸Ðл²ÎÓ룬ӦÖúÖ¸Êý +1
linhua0402313: ½ð±Ò+1, ¸Ðл²ÎÓë»ØÌû½»Á÷£¬»¶Ó³£À´¾§Ìå°å¿é 2012-10-08 07:42:36
|
1. ·Ö×Óʽ¾ÍÊÇsum formula£ºC26N2Nd2NiO31£»Á½ÖÖÑõÔ×Ó·Ö±ðΪÖ÷Ìå¹Ç¼ÜÀïÃæµÄÑõÔ×Ó£¬±ÈÈçôÈ»ù£¬ÅäλˮµÈ£¬ÁíÍâµÄÊÇ¿ÎÌâ·Ö×ÓÑõÔ×Ó£¬Ò²¾ÍÊÇÄã½á¹¹ÀïµÄÓÎÀëË®¡£ 2.¼ÆËãÒ»ÏÂË®·Ö×ÓÔÚ·Ö×ÓʽÖеÄÖØÁ¿°Ù·Ö±È£¬ÔÙ¸úÄãµÄÈÈÖØÇúÏßÖÐÊ§ÖØ±ÈÀý¶Ô±Èһϣ¬¾ÍÖªµÀʧȥÁ˼¸¸öË®ÁË¡£ |

3Â¥2012-10-08 04:06:33
ming142007
Ìú¸Ëľ³æ (Ö°Òµ×÷¼Ò)
»¯Ñ§°Ù¿Æ
- CMEI: 1
- Ó¦Öú: 84 (³õÖÐÉú)
- ¹ó±ö: 0.424
- ½ð±Ò: 6781.9
- É¢½ð: 3005
- ºì»¨: 22
- ɳ·¢: 2
- Ìû×Ó: 3021
- ÔÚÏß: 1385.3Сʱ
- ³æºÅ: 1005492
- ×¢²á: 2010-04-25
- רҵ: ²ÄÁÏÎïÀí»¯Ñ§
4Â¥2012-10-08 09:06:09














»Ø¸´´ËÂ¥
